图谱信息 供应商 相关产品
网站主页CAS数据库列表 52387-14-1更多图谱异戊酰紫草素(52387-14-1)红外图谱(IR1)

异戊酰紫草素

产品名称 异戊酰紫草素

CAS号52387-14-1

分子式C21H24O6

分子量372.41

展开


  • Mass

    MS-IW-3619          
    (R)-1-(5,8-dihydroxy-1,4-dioxo-1,4-dihydro-2-naphthyl)-4-methyl-3-pentenyl isovalerate
    C21H24O6            (Mass of molecular ion:    372)
    

       Source Temperature: 160 °C
       Sample Temperature: 120 °C
       Direct, 75 eV
    

          18.0       3.3
          27.0       4.8
          28.0       1.5
          29.0       8.0
          39.0       5.8
          41.0      27.4
          42.0       3.1
          43.0      14.4
          45.0       3.9
          51.0       2.7
          52.0       2.0
          53.0       3.2
          55.0       3.9
          56.0       1.3
          57.0      59.9
          58.0       2.8
          59.0       1.2
          60.0      25.1
          61.0       1.9
          63.0       1.7
          65.0       2.0
          67.0       1.1
          69.0      16.3
          70.0       1.1
          76.0       1.0
          77.0       3.3
          78.0       1.3
          79.0       2.1
          80.0       1.2
          81.0       1.0
          85.0     100.0
          86.0       6.4
          87.0       5.5
          89.0       1.5
          91.0       4.9
          92.0       2.9
          93.0       1.2
         102.0       1.0
         103.0       1.0
         105.0       1.4
         107.0       1.7
         108.0       4.2
         115.0       2.2
         119.0       1.2
         121.0       1.9
         127.0       1.2
         128.0       1.3
         134.0       1.2
         135.0       2.1
         136.0       2.7
         137.0       3.8
         152.0       1.3
         153.0       1.1
         163.0       1.1
         165.0       1.7
         171.0       1.1
         175.0       1.2
         178.0       1.1
         181.0       1.2
         187.0       1.3
         189.0       2.0
         190.0       2.8
         191.0       3.5
         197.0       1.0
         199.0       1.3
         204.0       4.5
         213.0       1.1
         215.0       2.8
         216.0       3.0
         217.0       1.0
         218.0       1.9
         219.0       5.6
         220.0      18.1
         221.0       2.4
         224.0       1.0
         225.0       1.2
         227.0       5.4
         228.0       5.4
         229.0       7.7
         230.0       1.4
         237.0       4.0
         239.0       1.3
         241.0       3.2
         242.0       1.6
         251.0       1.5
         252.0       5.1
         253.0       4.2
         254.0       5.2
         255.0      36.3
         256.0       6.5
         257.0       1.2
         268.0       2.2
         269.0       2.9
         270.0      98.0
         271.0      22.9
         272.0       9.7
         273.0       1.5
         288.0       3.0
         372.0       1.4
    

400 MHz in CDCl3


  • 1H NMR 399.65 MHz
    C21 H24 O6 52 mg : 0.5 ml CDCl3
    (R)-1-(5,8-dihydroxy-1,4-dioxo-1,4-dihydro-2-naphthyl)-4-methyl-3-pentenyl isovalerate
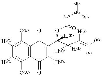
    ChemicalStructure
        Assign.     Shift(ppm)
    A *1 12.6 B *1 12.4 C 7.170 D 6.990 E 6.046 F 5.132 G *2 2.618 J *2 2.472 K 2.28 L 2.139 M *3 1.688 N *3 1.587 P 0.98

         Hz     ppm     Int.
    

       5026.09  12.577    501
       4959.96  12.411    580
       2865.82   7.171   1000
       2794.39   6.993    295
       2793.29   6.990    280
       2422.93   6.063     57
       2421.83   6.060     57
       2418.53   6.052     68
       2417.43   6.049     67
       2415.42   6.044     72
       2414.32   6.042     66
       2411.02   6.033     58
       2409.92   6.031     52
       2051.46   5.134     61
       1039.65   2.602     38
        993.86   2.487     51
        986.35   2.469     42
        916.93   2.295    173
        913.08   2.285    197
        909.24   2.276    238
        906.31   2.268    211
        867.48   2.171     38
        860.70   2.154     63
        854.11   2.138     69
        847.33   2.121     51
        846.78   2.119     48
        675.15   1.690    454
        674.24   1.688    438
        634.49   1.588    511
        396.19   0.992    690
        394.54   0.988    655
        389.59   0.975    665
        387.95   0.971    629
    

KBr disc



nujol mull