图谱信息 供应商 相关产品
网站主页CAS数据库列表 525-79-1更多图谱6-糠氨基嘌呤(525-79-1)红外图谱(IR2)

6-糠氨基嘌呤

产品名称 6-糠氨基嘌呤

CAS号525-79-1

分子式C10H9N5O

分子量215.21

展开


  • Mass

    MS-NW-2018          
    6-(furfurylamino)purine
    C10H9N5O            (Mass of molecular ion:    215)
    

       Source Temperature: 220 °C
       Sample Temperature: 220 °C
       Direct, 75 eV
    

          18.0       3.3
          26.0       1.9
          27.0      17.0
          28.0      21.6
          29.0       1.9
          30.0       2.1
          38.0       3.0
          39.0       6.6
          40.0       2.8
          41.0       3.5
          42.0       1.3
          43.0       1.8
          50.0       2.3
          51.0       5.7
          52.0       6.4
          53.0      28.7
          54.0       5.1
          55.0       1.1
          65.0       4.0
          66.0       7.7
          67.0       4.6
          68.0       6.0
          69.0       2.3
          70.0       1.0
          78.0       1.8
          79.0       1.7
          80.0       3.6
          81.0      63.0
          82.0       3.7
          92.0       4.4
          93.0      12.2
          94.0       3.6
          95.0       1.1
          96.0      15.6
          98.5       1.5
         105.0       1.5
         106.0       1.1
         107.0       1.1
         108.0      10.7
         119.0      11.4
         120.0      10.3
         121.0       3.8
         132.0       1.4
         133.0       1.0
         134.0       1.8
         135.0      15.9
         136.0       2.6
         146.0       1.4
         148.0       1.7
         158.0       1.3
         159.0       5.8
         160.0      17.9
         161.0       2.8
         171.0       2.4
         172.0       1.7
         184.0       1.6
         185.0       1.9
         186.0      58.0
         187.0      11.5
         188.0       1.3
         196.0       1.9
         197.0       1.3
         198.0       3.5
         213.0       1.6
         214.0      12.6
         215.0     100.0
         216.0      12.8
    

90 MHz in CDCl3

400 MHz in DMSO-d6


  • 1H NMR 89.56 MHz
    C10 H9 N5 O 0.036 g : 0.5 ml DMSO-d6
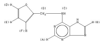
    6-(furfurylamino)purine
    ChemicalStructure
        Assign.     Shift(ppm)
    A 8.248 B 8.143 C 8.0 D 7.552 E 6.37 F 6.27 G 4.791

         Hz     ppm     Int.
    

        738.75   8.249    879
        729.31   8.144   1000
        716.13   7.997    174
        677.50   7.565    443
        676.63   7.556    534
        675.69   7.545    512
        674.81   7.535    442
        573.44   6.403    237
        571.56   6.382    277
        570.25   6.368    439
        568.44   6.348    415
        565.56   6.315     74
        563.13   6.288    427
        562.31   6.279    477
        559.94   6.253    247
        559.19   6.244    257
        432.13   4.826    347
        426.25   4.760    347
    


  • 1H NMR 399.65 MHz
    C10 H9 N5 O saturated in DMSO-d6
    6-(furfurylamino)purine
    ChemicalStructure
        Assign.     Shift(ppm)
    A 13.0 B 8.23 C 8.10 D 7.55 E 6.37 F 6.370 G 6.25 J 4.73

         Hz     ppm     Int.
    

       5189.29  12.985    360
       3290.04   8.233    576
       3251.57   8.137   1000
       3018.03   7.552    958
       2545.65   6.370    882
       2496.56   6.247    696
       2496.19   6.246    695
       1890.09   4.730    386
    

KBr disc



nujol mull