图谱信息 供应商 相关产品
网站主页CAS数据库列表 525-82-6更多图谱黄酮(525-82-6)红外图谱(IR2)

黄酮

产品名称 黄酮

CAS号525-82-6

分子式C15H10O2

分子量222.24

展开


  • Mass

    MS-NW-0493          
    flavone
    C15H10O2            (Mass of molecular ion:    222)
    

       Source Temperature: 160 °C
       Sample Temperature: 120 °C
       Direct, 75 eV
    

          28.0       1.6
          38.0       2.7
          39.0       4.2
          50.0       5.9
          51.0       6.7
          52.0       2.4
          53.0       1.4
          62.0       2.3
          63.0      12.1
          64.0      13.7
          65.0       1.4
          69.0       1.3
          69.5       1.4
          70.0       1.0
          74.0       3.4
          75.0       3.8
          76.0       6.7
          77.0       4.6
          81.5       1.2
          82.0       8.0
          82.5       7.0
          83.0       1.3
          89.0       1.3
          91.0       1.0
          92.0      36.6
          93.0       2.7
          97.0      15.8
          97.5       2.3
         101.0       1.3
         102.0      11.5
         103.0       1.0
         105.0       1.8
         120.0      76.9
         121.0       6.3
         129.0       2.4
         139.0       1.9
         163.0       1.3
         164.0       1.2
         165.0       8.0
         166.0       1.4
         194.0      33.7
         195.0       5.6
         221.0      23.7
         222.0     100.0
         223.0      17.6
         224.0       1.5
    

parameter in CDCl3


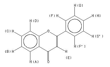
  • 1H NMR 300 MHz
    C15 H10 O2 in CDCl3
    flavone
    ChemicalStructure
        Parameter     ppm  Hz
    D(A) 8.235 D(B) 7.405 D(C) 7.680 D(D) 7.554 J(A,B) 8.15 J(A,C) 1.71 J(A,D) 0.56 J(B,C) 7.22 J(B,D) 0.91 J(C,D) 8.25 D(E) 6.82 D(F) 7.914 D(G) 7.503 D(H) 7.539 J(F,F') 1.84 J(F,G) 7.23 J(F,G') 0.56 J(F,H) 2.36 J(F',G) 0.56 J(F',G') 7.23 J(F',H) 2.36 J(G,G') 0.04 J(G,H) 7.35 J(G',H) 7.35 JOSEPH-NATHAN,P. ET AL. J.MAGN.RESON. 16, 447 (1974)

         Hz     ppm     Int.
    

       2475.72   8.252    168
       2475.26   8.251    175
       2474.02   8.247    179
       2473.58   8.245    174
       2467.58   8.225    180
       2467.12   8.224    187
       2465.90   8.220    190
       2465.44   8.218    183
       2380.98   7.937     52
       2379.37   7.931    282
       2376.88   7.923    281
       2375.38   7.918    123
       2374.03   7.913    176
       2372.11   7.907    398
       2370.18   7.901    177
       2369.28   7.898    340
       2367.16   7.891     44
       2364.70   7.882     12
       2313.14   7.710     97
       2311.44   7.705     97
       2306.00   7.687    130
       2304.88   7.683    185
       2303.20   7.677    157
       2297.76   7.659    178
       2296.06   7.654    174
       2273.21   7.577     25
       2270.60   7.569    253
       2269.73   7.566    304
       2264.01   7.547    132
       2263.33   7.544    145
       2261.77   7.539    212
       2260.92   7.536    184
       2259.81   7.533    233
       2257.19   7.524    610
       2256.50   7.522    472
       2255.06   7.517    265
       2254.42   7.515    212
       2252.28   7.508    120
       2250.83   7.503    217
       2249.66   7.499    436
       2247.92   7.493    118
       2244.13   7.480     95
       2242.93   7.476     59
       2241.79   7.473     47
       2240.86   7.470     54
       2229.38   7.431    164
       2228.43   7.428    157
       2222.24   7.407    158
       2221.27   7.404    282
       2220.31   7.401    165
       2214.13   7.380    128
       2213.16   7.377    124
       2045.99   6.820   1000
    

KBr disc



nujol mull