图谱信息 供应商 相关产品
网站主页CAS数据库列表 52584-39-1更多图谱5-乙基-5-(对甲苯基)巴比妥酸(52584-39-1)红外图谱(IR2)

5-乙基-5-(对甲苯基)巴比妥酸

产品名称 5-乙基-5-(对甲苯基)巴比妥酸

CAS号52584-39-1

分子式C13H14N2O3

分子量246.26

展开


  • Mass

    MS-NW-6625          
    5-ethyl-5-(p-tolyl)barbituric acid
    C13H14N2O3          (Mass of molecular ion:    246)
    

       Source Temperature: 180 °C
       Sample Temperature: 120 °C
       Direct, 75 eV
    

          18.0       2.8
          27.0       4.9
          28.0       2.0
          29.0       3.2
          39.0       7.6
          41.0       2.2
          43.0       1.1
          44.0       2.4
          50.0       2.7
          51.0       7.5
          52.0       2.2
          53.0       2.5
          57.0       1.3
          57.5       6.4
          58.0       2.8
          58.5       5.6
          62.0       1.7
          63.0       5.4
          64.0       5.2
          64.5       1.6
          65.0      12.1
          66.0       1.0
          70.0       2.5
          72.5       3.6
          74.0       1.4
          75.0       2.0
          76.0       2.1
          77.0       8.5
          78.0       3.0
          79.0       1.9
          80.0       1.8
          87.0       1.0
          89.0       3.7
          90.0       2.0
          91.0      19.3
          92.0      11.3
          93.0       1.0
         102.0       3.5
         103.0       6.5
         104.0       3.4
         105.0       3.8
         106.0       1.2
         108.0       1.2
         115.0      13.5
         116.0       7.8
         117.0      26.1
         118.0      15.2
         119.0      10.9
         120.0       1.4
         127.0       1.3
         128.0       3.1
         129.0       5.0
         130.0       3.2
         131.0       9.0
         132.0      13.2
         133.0       2.1
         146.0      14.3
         147.0       6.0
         157.0       4.2
         158.0       3.4
         159.0       1.6
         160.0      14.8
         161.0       2.1
         174.0       7.8
         175.0      16.7
         176.0       2.9
         186.0       2.9
         188.0       5.8
         189.0       2.1
         190.0       1.7
         199.0       1.2
         200.0       1.2
         201.0       2.5
         203.0       5.2
         217.0      23.7
         218.0     100.0
         219.0      12.8
         220.0       1.4
         229.0       2.9
         231.0       3.3
         246.0      59.9
         247.0       9.3
         248.0       1.1
    

90 MHz in CDCl3


  • 1H NMR 89.56 MHz
    C13 H14 N2 O3 0.043 g : 0.5 ml CDCl3
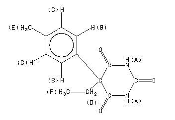
    5-ethyl-5-(p-tolyl)barbituric acid
    ChemicalStructure
        Assign.     Shift(ppm)
    A 8.64 B 7.21 C 7.18 D 2.455 E 2.318 F 0.982

         Hz     ppm     Int.
    

        773.44   8.637    112
        654.38   7.307     74
        653.31   7.295     50
        651.31   7.273     38
        648.44   7.241     72
        645.50   7.208    683
        644.50   7.197    368
        643.31   7.184    531
        640.31   7.150     63
        637.63   7.120     31
        637.00   7.113     34
        634.56   7.086     47
        634.19   7.082     49
        634.06   7.080     49
        231.31   2.583     48
        223.81   2.499    180
        221.50   2.474     33
        216.56   2.419    205
        207.69   2.320   1000
         94.81   1.059    244
         87.75   0.980    568
         80.31   0.897    194
    

in CDCl3



KBr disc



nujol mull