图谱信息 供应商 相关产品
网站主页CAS数据库列表 52605-52-4更多图谱1-(3-氯苯基)-4-(3-氯丙基)哌嗪盐酸盐(52605-52-4)核磁图(1HNMR)

1-(3-氯苯基)-4-(3-氯丙基)哌嗪盐酸盐

产品名称 1-(3-氯苯基)-4-(3-氯丙基)哌嗪盐酸盐

CAS号52605-52-4

分子式C13H19Cl3N2

分子量309.66

展开


  • Mass

    MS-KW-0573          
    1-(3-chlorophenyl)-4-(3-chloropropyl)piperazine hydrochloride
    C13H18Cl2N2 HCl     (Mass of molecular ion:    272)
    

       Source Temperature: 190 °C
       Sample Temperature: 140 °C
       Direct, 75 eV
    

          15.0       1.6
          18.0       2.8
          27.0       2.5
          28.0       7.1
          29.0       2.1
          30.0       2.1
          35.0       2.6
          36.0      25.7
          38.0       8.6
          39.0       2.0
          41.0       9.6
          42.0      24.2
          43.0      18.4
          44.0       1.6
          50.0       1.0
          51.0       2.1
          54.0       2.4
          55.0       2.5
          56.0      13.1
          57.0       2.6
          63.0       1.1
          68.0       1.4
          69.0       2.0
          70.0      42.5
          71.0       3.7
          75.0       4.7
          76.0       1.4
          77.0       4.2
          82.0       1.5
          83.0       1.0
          84.0       3.2
          87.0       2.6
          89.0       1.1
          96.0       1.8
          98.0      16.4
          99.0       1.6
         104.0       3.2
         104.5      11.4
         105.0       5.0
         105.5       3.8
         106.0       4.2
         108.0       1.0
         111.0       9.1
         112.0       1.6
         113.0       3.1
         117.0       1.8
         118.0       4.9
         119.0       1.0
         120.0       2.8
         125.0       4.3
         127.0       1.7
         130.0       1.3
         131.0       1.3
         132.0      18.5
         133.0       1.9
         134.0       5.9
         138.0      11.2
         139.0      17.8
         140.0      10.1
         141.0       6.1
         142.0       2.2
         153.0       2.3
         154.0       3.6
         155.0       1.2
         156.0       1.2
         166.0      15.9
         167.0       3.7
         168.0       6.6
         169.0       1.3
         181.0       5.6
         183.0       1.8
         194.0       3.7
         195.0       1.8
         196.0       1.6
         207.0       2.4
         208.0       1.0
         209.0     100.0
         210.0      13.4
         211.0      32.3
         212.0       4.2
         236.0       1.3
         237.0       1.1
         257.0       1.2
         271.0       1.6
         272.0      29.2
         273.0       5.3
         274.0      18.6
         275.0       3.0
         276.0       3.2
         316.0       1.0
         318.0       1.3
    

400 MHz in DMSO-d6


  • 1H NMR 399.65 MHz
    C13H18Cl2N2 HCl 0.041 g : 0.5 ml DMSO-d6
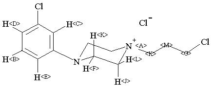
    1-(m-chlorophenyl)-4-(3-chloropropyl)piperazine hydrochloride
    ChemicalStructure
        Assign.     Shift(ppm)
    A 11.6 B 7.264 C 7.056 D 6.966 E 6.875 F 3.874 G 3.776 J 3.556 K 3.25 L 3.147 M 2.285 assigned by C-H COSY

         Hz     ppm     Int.
    

       4626.00  11.572     81
       2912.73   7.286    348
       2904.49   7.266    635
       2896.43   7.245    440
       2822.79   7.061    355
       2820.59   7.056    617
       2818.39   7.050    415
       2789.63   6.978    317
       2787.62   6.973    281
       2781.21   6.957    267
       2779.38   6.953    247
       2752.63   6.886    364
       2751.35   6.883    348
       2744.94   6.867    320
       2743.47   6.863    322
       1555.01   3.890    208
       1542.74   3.859    236
       1515.99   3.793    533
       1509.58   3.776   1000
       1503.17   3.760    542
       1427.33   3.571    211
       1416.16   3.543    245
       1320.36   3.303    149
       1303.14   3.260    360
       1295.81   3.242    464
       1287.75   3.222    287
       1257.89   3.147    184
        927.26   2.320    128
        920.84   2.304    286
        912.78   2.284    294
        905.09   2.264    268
        898.68   2.248    110
    

in DMSO-d6



KBr disk



Nujol