图谱信息 供应商 相关产品
网站主页CAS数据库列表 528-45-0更多图谱3,4-二硝基苯甲酸(528-45-0)红外图谱(IR1)

3,4-二硝基苯甲酸

产品名称 3,4-二硝基苯甲酸

CAS号528-45-0

分子式C7H4N2O6

分子量212.12

展开


  • Mass

    MS-NW-0502          
    3,4-dinitrobenzoic acid
    C7H4N2O6            (Mass of molecular ion:    212)
    

       Source Temperature: 230 °C
       Sample Temperature: 140 °C
       Direct, 75 eV
    

          27.0       1.1
          28.0       1.7
          29.0       1.0
          30.0     100.0
          37.0       2.4
          38.0       5.4
          39.0       9.2
          40.0       1.1
          44.0       1.0
          45.0       6.7
          46.0       4.5
          50.0       9.6
          51.0       7.6
          52.0       9.1
          53.0       7.3
          55.0       2.2
          61.0       1.8
          62.0       5.4
          63.0      17.8
          64.0       9.5
          65.0       1.8
          66.0       1.6
          67.0       1.1
          68.0       2.1
          69.0       1.4
          70.0       1.4
          71.0       1.4
          73.0       2.5
          74.0      16.2
          75.0      19.4
          76.0       2.5
          77.0       2.2
          79.0       3.8
          80.0       5.3
          91.0       3.9
          92.0       2.6
          93.0       2.3
          96.0       3.7
         102.0       2.7
         103.0       9.0
         104.0       1.2
         108.0       3.4
         119.0       8.6
         120.0       2.9
         121.0       1.6
         124.0       1.0
         136.0       3.8
         138.0       1.7
         166.0       4.8
         195.0       1.0
         196.0       1.0
         212.0      26.6
         213.0       2.4
    

90 MHz in DMSO-d6


  • 1H NMR 89.56 MHz
    C7 H4 N2 O6 0.036 g : 0.5 ml DMSO-d6
    3,4-dinitrobenzoic acid
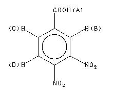
    ChemicalStructure
        Assign.     Shift(ppm)
    A 14. B 8.584 C 8.429 D 8.346 J(B,C)=1.6HZ J(B,D)=0.5HZ J(C,D)=8.3HZ

         Hz     ppm     Int.
    

        769.90   8.597    547
        769.38   8.591    538
        768.27   8.579    764
        764.17   8.533     27
        762.12   8.510    241
        760.50   8.492    111
        758.45   8.469     39
        756.82   8.451     32
        753.83   8.418    770
        752.21   8.399    696
        749.13   8.365   1000
        748.62   8.359    797
        740.84   8.272    220
        740.33   8.267    171
    

in DMSO-d6



KBr disc



nujol mull