图谱信息 供应商 相关产品
网站主页CAS数据库列表 528-92-7更多图谱烯丙基異丙基乙醯脲(528-92-7)核磁图(1HNMR)

烯丙基異丙基乙醯脲

产品名称 烯丙基異丙基乙醯脲

CAS号528-92-7

分子式C9H16N2O2

分子量184.24

展开


  • Mass

    MS-IW-3260          
    (2-isopropyl-4-pentenoyl)urea
    C9H16N2O2           (Mass of molecular ion:    184)
    

       Source Temperature: 190 °C
       Sample Temperature: 110 °C
       Direct, 75 eV
    

          18.0       3.7
          27.0      13.6
          28.0       4.8
          29.0       9.0
          30.0       1.9
          39.0      19.7
          40.0       2.6
          41.0      40.5
          42.0       4.8
          43.0      25.3
          44.0      58.9
          45.0       1.6
          51.0       2.5
          52.0       1.8
          53.0      13.4
          54.0      11.9
          55.0      81.2
          56.0      24.8
          57.0       6.0
          58.0       3.8
          59.0       1.7
          60.0       2.5
          61.0      50.0
          62.0       1.0
          65.0       1.4
          67.0       6.3
          68.0       3.5
          69.0      14.5
          70.0       4.8
          71.0       1.3
          72.0       3.6
          73.0       2.1
          77.0       1.8
          79.0       3.6
          80.0       3.1
          81.0      69.5
          82.0      45.1
          83.0      25.9
          84.0       3.7
          85.0       1.0
          86.0      11.7
          87.0       4.6
          95.0       2.4
          96.0      16.5
          97.0       9.4
          98.0      38.3
          99.0      32.6
         100.0       5.6
         101.0      11.3
         102.0       2.9
         109.0      13.6
         110.0       1.3
         114.0      15.0
         115.0       2.2
         123.0       1.6
         124.0      27.3
         125.0       3.8
         126.0      11.8
         127.0       1.8
         129.0       2.9
         141.0      93.3
         142.0     100.0
         143.0      15.2
         144.0       1.5
         156.0       1.4
         169.0      11.4
         170.0       1.1
         184.0       6.6
         185.0       1.3
    

400 MHz in DMSO-d6


  • 1H NMR 399.65 MHz
    C9 H16 N2 O2 0.045 g : 0.5 ml DMSO-d6
    (2-isopropyl-4-pentenoyl)urea
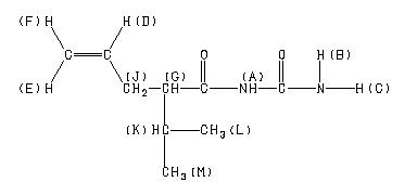
    ChemicalStructure
        Assign.     Shift(ppm)
    A *1 10.14 B *1 7.86 C *1 7.21 D 5.687 E 5.025 F 4.969 G 2.30 J 2.24 to 2.20 K 1.763 L *2 0.892 M *2 0.866 J(D,E)=17.1HZ J(D,F)=10.2HZ J(D,J)=6.7HZ

         Hz     ppm     Int.
    

       4052.89  10.142    158
       3139.95   7.857     89
       2882.23   7.212    106
       2294.16   5.741     42
       2287.45   5.724     88
       2283.94   5.715     52
       2280.73   5.707     47
       2277.07   5.698    140
       2270.36   5.681    146
       2266.69   5.672     59
       2263.49   5.664     55
       2260.13   5.656    108
       2253.42   5.639     50
       2017.06   5.048    156
       2015.08   5.043    190
       2013.55   5.039     88
       2001.19   5.008     60
       1999.82   5.004    142
       1997.83   4.999    175
       1996.46   4.996     80
       1992.03   4.985    189
       1990.81   4.982    156
       1989.90   4.980    170
       1981.81   4.959    177
       1980.74   4.957    147
       1979.68   4.954    161
        924.07   2.313     68
        917.66   2.297     93
        910.49   2.279     66
        907.59   2.271     53
        900.57   2.254     38
        893.86   2.237    115
        889.43   2.226    117
        886.69   2.219    188
        885.47   2.216    211
        883.94   2.212    199
        878.60   2.199    134
        877.53   2.196    139
        715.18   1.790     76
        708.47   1.773    129
        701.60   1.756    131
        694.73   1.739     81
        360.11   0.902    958
        353.39   0.885    948
        349.58   0.875   1000
        342.86   0.858    941
    

in DMSO-d6



KBr disc



nujol mull