-
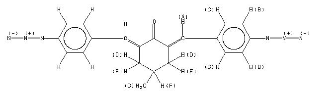
MS-NW-7045 2,6-bis(p-azidobenzylidene)-4-methylcyclohexanone C21H18N6O (Mass of molecular ion: 370)
Source Temperature: 200 °C Sample Temperature: 170 °C Direct, 75 eV
14.0 2.6 18.0 2.9 28.0 100.0 29.0 1.0 39.0 1.9 41.0 1.0 51.0 1.8 63.0 1.7 64.0 1.6 65.0 1.0 77.0 1.8 91.0 1.6 102.0 1.3 103.0 1.3 115.0 1.6 116.0 1.0 119.0 1.5 128.0 1.4 129.0 1.2 130.0 1.1 215.0 1.1 216.0 1.4 242.0 1.1 243.0 2.4 244.0 2.0 271.0 1.4 285.0 4.0 286.0 2.2 288.0 1.9 314.0 2.1 342.0 6.1 343.0 1.7 344.0 1.4 370.0 3.0
90 MHz in CDCl3
-
1H NMR 89.56 MHz C21 H18 N6 O 0.043 g : 0.5 ml CDCl3 2,6-bis(p-azidobenzylidene)-4-methylcyclohexanone 
Assign. Shift(ppm)
A 7.74 B 7.45 C 7.058 D *1 2.98 E *1 2.49 F 1.85 G 1.088
Hz ppm Int.692.81 7.736 341 672.44 7.509 507 670.94 7.492 233 664.00 7.415 816 661.75 7.389 211 637.88 7.123 172 635.63 7.098 1000 633.63 7.075 317 628.88 7.022 251 627.00 7.001 654 277.44 3.098 98 261.75 2.923 180 234.25 2.616 92 222.75 2.488 133 207.69 2.320 92 164.56 1.838 64 100.44 1.122 697 94.06 1.051 575
更多供应商





