图谱信息 供应商 相关产品
网站主页CAS数据库列表 529-20-4更多图谱2-甲基苯甲醛(529-20-4)红外图谱(IR1)

2-甲基苯甲醛

产品名称 2-甲基苯甲醛

CAS号529-20-4

分子式C8H8O

分子量120.15

展开


  • Mass

    MS-NW-1492          
    o-tolualdehyde
    C8H8O               (Mass of molecular ion:    120)
    

       Source Temperature: 250 °C
       Sample Temperature: 180 °C
       Reservoir, 75 eV
    

          27.0       2.7
          28.0       1.4
          29.0       2.2
          37.0       1.9
          38.0       3.8
          39.0      19.9
          40.0       1.8
          41.0       4.1
          43.0       1.2
          45.0       1.1
          50.0       6.9
          51.0       9.9
          52.0       2.0
          53.0       1.0
          59.0       1.4
          61.0       2.4
          62.0       5.6
          63.0      13.2
          64.0       3.4
          65.0      26.6
          66.0       1.8
          74.0       2.0
          75.0       1.3
          77.0       1.4
          86.0       1.4
          87.0       1.0
          89.0       7.9
          90.0       4.3
          91.0     100.0
          92.0      10.3
         119.0      94.6
         120.0      79.0
         121.0       7.1
         136.0       1.8
    

400 MHz in CDCl3


  • 1H NMR 399.65 MHz
    C8 H8 O 0.097 g : 0.5 ml CDCl3
    o-tolualdehyde
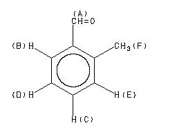
    ChemicalStructure
        Assign.     Shift(ppm)
    A 10.235 B 7.768 C 7.447 D 7.334 E 7.231 F 2.641

         Hz     ppm     Int.
    

       4090.58  10.236    569
       3108.98   7.780    175
       3107.60   7.776    148
       3101.35   7.761    187
       3099.98   7.757    160
       2985.08   7.470     93
       2983.86   7.467     82
       2977.75   7.451    199
       2976.23   7.448    165
       2970.12   7.432    148
       2968.90   7.429    124
       2939.00   7.354     97
       2938.39   7.353    116
       2937.93   7.352    114
       2930.91   7.334    175
       2930.30   7.333    176
       2923.28   7.315     77
       2922.21   7.312     70
       2892.91   7.239    187
       2885.44   7.220    160
       2884.98   7.219    154
       1055.45   2.641   1000
    

in CDCl3



liquid film