-
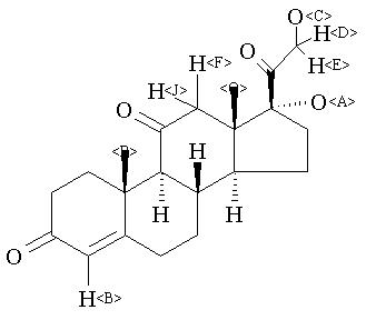
MS-IW-4878 cortisone C21H28O5 (Mass of molecular ion: 360)
Source Temperature: 170 °C Sample Temperature: 210 °C Direct, 75 eV
17.0 1.4 18.0 6.7 27.0 3.8 28.0 3.9 29.0 9.3 30.0 6.3 31.0 6.2 32.0 2.0 39.0 6.3 40.0 1.6 41.0 16.9 42.0 2.5 43.0 12.2 51.0 2.1 52.0 1.3 53.0 8.2 54.0 1.2 55.0 17.6 56.0 1.2 57.0 2.1 60.0 2.9 65.0 5.7 66.0 2.4 67.0 10.5 68.0 3.4 69.0 6.6 71.0 2.0 77.0 13.9 78.0 3.8 79.0 16.5 80.0 3.4 81.0 9.9 82.0 2.5 83.0 3.3 85.0 1.2 86.0 1.0 91.0 24.1 92.0 4.3 93.0 11.4 94.0 3.5 95.0 11.1 96.0 4.2 97.0 7.3 98.0 1.0 99.0 2.3 103.0 3.2 104.0 1.8 105.0 16.8 106.0 4.5 107.0 17.0 108.0 5.9 109.0 9.0 110.0 3.8 111.0 2.8 115.0 5.1 116.0 2.3 117.0 6.7 118.0 2.3 119.0 10.7 120.0 5.7 121.0 37.3 122.0 100.0 123.0 26.9 124.0 5.6 125.0 2.8 127.0 1.5 128.0 3.7 129.0 4.7 130.0 2.1 131.0 7.7 132.0 2.8 133.0 12.8 134.0 10.0 135.0 17.8 136.0 15.7 137.0 6.0 138.0 1.7 139.0 2.4 141.0 2.1 142.0 1.7 143.0 5.0 144.0 2.9 145.0 9.2 146.0 5.0 147.0 19.4 148.0 6.0 149.0 7.2 150.0 1.9 151.0 2.7 152.0 1.0 153.0 1.3 155.0 1.8 156.0 1.1 157.0 3.6 158.0 2.6 159.0 9.5 160.0 6.5 161.0 20.1 162.0 8.6 163.0 14.9 164.0 3.0 165.0 6.0 166.0 1.5 167.0 1.5 169.0 2.0 170.0 1.3 171.0 4.7 172.0 2.2 173.0 8.1 174.0 3.5 175.0 6.4 176.0 2.5 177.0 3.7 178.0 3.0 179.0 7.5 180.0 1.4 181.0 1.5 183.0 2.6 184.0 1.4 185.0 3.6 186.0 2.8 187.0 6.2 188.0 4.5 189.0 9.1 190.0 2.8 191.0 2.8 192.0 1.6 193.0 5.4 194.0 1.2 195.0 5.4 196.0 1.3 197.0 3.2 198.0 1.8 199.0 3.4 200.0 1.7 201.0 3.7 202.0 2.7 203.0 1.8 204.0 1.4 205.0 1.8 206.0 1.3 207.0 2.6 208.0 2.0 209.0 3.7 210.0 1.2 211.0 3.0 212.0 1.5 213.0 3.1 214.0 2.0 215.0 5.4 216.0 2.1 217.0 1.1 221.0 1.3 222.0 1.1 223.0 2.6 224.0 1.4 225.0 5.5 226.0 2.0 227.0 3.4 228.0 3.7 229.0 3.8 230.0 5.5 231.0 2.2 237.0 1.5 238.0 1.5 239.0 3.9 240.0 2.0 241.0 5.4 242.0 2.8 243.0 7.9 244.0 4.7 245.0 2.6 249.0 1.1 251.0 1.2 253.0 1.5 254.0 1.2 255.0 4.3 256.0 8.0 257.0 23.6 258.0 24.4 259.0 6.8 260.0 1.3 265.0 2.2 266.0 1.1 267.0 5.2 268.0 2.0 269.0 1.4 271.0 2.6 272.0 4.2 273.0 2.6 281.0 1.3 282.0 1.9 283.0 4.3 284.0 2.5 285.0 11.3 286.0 3.9 287.0 1.6 295.0 1.6 297.0 1.7 299.0 1.7 300.0 25.8 301.0 18.3 302.0 5.2 303.0 1.0 310.0 1.1 311.0 6.1 312.0 5.7 313.0 21.0 314.0 6.1 315.0 3.3 326.0 1.0 327.0 1.6 328.0 11.5 329.0 2.9 330.0 29.8 331.0 7.2 332.0 1.8 342.0 8.9 343.0 2.7 344.0 2.3 360.0 12.1 361.0 3.0
400 MHz in DMSO-d6
-
1H NMR 399.65 MHz C21 H28 O5 0.039 g : 0.5 ml DMSO-d6 cortisone 
Assign. Shift(ppm)
A 5.64 B 5.604 C 4.70 D *1 4.447 E *1 4.081 F *2 2.877 J *2 1.948 P 1.320 Q 0.470 PARTIALLY ASSIGNED.
Hz ppm Int.2253.66 5.640 233 2239.75 5.605 455 1880.00 4.705 69 1874.02 4.690 130 1868.16 4.675 83 1791.87 4.484 73 1785.28 4.468 70 1772.46 4.436 96 1765.99 4.419 85 1642.58 4.111 83 1637.33 4.097 89 1623.29 4.062 73 1618.04 4.049 69 1156.37 2.894 100 1144.04 2.863 107 1030.76 2.580 51 1027.59 2.572 84 1025.27 2.566 80 1022.34 2.559 68 1021.00 2.555 69 1017.09 2.545 79 1012.45 2.534 72 1008.79 2.525 67 1007.32 2.521 72 1003.91 2.512 74 1003.42 2.511 74 984.50 2.464 51 979.49 2.451 49 969.85 2.427 88 967.53 2.421 105 965.09 2.415 84 962.89 2.410 64 957.89 2.397 68 953.00 2.385 96 950.81 2.380 72 947.51 2.371 84 938.84 2.350 62 935.30 2.341 44 909.55 2.276 71 896.48 2.244 48 859.99 2.152 118 853.76 2.137 95 849.12 2.125 164 840.33 2.103 43 837.04 2.095 64 785.03 1.965 168 772.71 1.934 181 761.84 1.907 104 753.17 1.885 100 718.02 1.797 46 709.72 1.776 50 664.79 1.664 84 649.05 1.625 82 542.72 1.358 55 540.04 1.352 33 536.74 1.344 62 527.59 1.321 1000 519.04 1.299 44 496.95 1.244 46 493.77 1.236 46 484.13 1.212 42 483.89 1.211 42 481.08 1.204 41 480.71 1.203 41 187.99 0.471 806
更多供应商





