-
MS-NW-2165 estrone C18H22O2 (Mass of molecular ion: 270)
Source Temperature: 230 °C Sample Temperature: 220 °C Direct, 75 eV
15.0 1.6 17.0 1.6 18.0 5.6 26.0 1.1 27.0 16.3 28.0 6.6 29.0 11.4 38.0 1.2 39.0 21.3 40.0 3.9 41.0 26.6 42.0 2.5 43.0 4.1 50.0 2.4 51.0 9.4 52.0 3.8 53.0 12.6 54.0 2.5 55.0 11.8 56.0 1.1 57.0 2.1 62.0 1.3 63.0 5.9 64.0 2.2 65.0 9.8 66.0 2.8 67.0 11.3 68.0 2.4 69.0 2.3 74.0 1.1 75.0 2.0 76.0 2.5 77.0 20.0 78.0 5.4 79.0 13.3 80.0 1.6 81.0 6.2 82.0 1.6 83.0 1.2 85.0 1.6 88.0 1.0 89.0 4.3 90.0 1.2 91.0 20.2 92.0 3.9 93.0 5.3 94.0 2.0 95.0 2.8 97.0 6.5 98.0 1.0 101.0 1.3 102.0 2.9 103.0 8.2 104.0 2.5 105.0 12.3 106.0 2.0 107.0 13.3 108.0 3.8 109.0 1.5 110.0 1.0 111.0 1.2 115.0 25.1 116.0 9.6 117.0 9.5 118.0 1.8 119.0 2.9 120.0 13.1 121.0 5.6 122.0 1.2 123.0 3.3 124.0 1.0 126.0 1.3 127.0 11.9 128.0 12.6 129.0 8.7 130.0 2.6 131.0 20.4 132.0 7.3 133.0 21.9 134.0 3.1 135.0 1.6 139.0 2.3 141.0 8.2 142.0 2.5 143.0 3.1 144.0 17.5 145.0 28.9 146.0 55.7 147.0 12.0 148.0 1.6 149.0 1.2 150.0 2.1 151.0 1.3 152.0 4.1 153.0 3.9 154.0 1.4 155.0 2.8 156.0 1.0 157.0 25.1 158.0 20.6 159.0 27.2 160.0 24.0 161.0 3.9 163.0 1.0 165.0 5.1 166.0 1.6 167.0 1.9 168.0 1.3 169.0 2.8 170.0 10.4 171.0 10.9 172.0 40.7 173.0 10.3 174.0 2.7 178.0 1.5 179.0 1.7 181.0 3.2 182.0 2.1 183.0 3.8 184.0 4.0 185.0 44.6 186.0 17.7 187.0 2.9 189.0 1.1 194.0 1.2 195.0 2.4 196.0 1.5 197.0 3.8 198.0 2.8 199.0 10.7 200.0 4.2 202.0 1.1 209.0 2.3 210.0 2.4 211.0 6.8 212.0 4.3 213.0 24.4 214.0 18.7 215.0 3.5 223.0 1.6 224.0 1.8 225.0 1.4 226.0 7.7 227.0 3.6 228.0 2.7 235.0 1.5 237.0 3.6 241.0 1.5 242.0 8.4 243.0 1.5 248.0 1.5 250.0 1.6 251.0 1.4 252.0 5.6 253.0 1.6 255.0 1.5 268.0 1.4 269.0 2.4 270.0 100.0 271.0 19.6 272.0 2.5
400 MHz in DMSO-d6
-
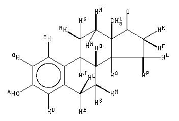
1H NMR 399.65 MHz C18 H22 O2 0.044 g : 0.5 ml DMSO-d6 estrone 
Assign. Shift(ppm)
A 9.03 B 7.044 C 6.518 D 6.455 E 2.81 to 2.70 F *1 2.424 G 2.301 J 2.13 K *1 2.057 L *2 1.94 M 1.90 N 1.743 P *2 1.55 Q 1.50 to 1.43 R 1.40 to 1.33 S 1.31 T 0.816 ASSIGNED BY H-H AND C-H COSY. J(F,K)=-18.9HZ J(F,P)=8.3HZ J(K,L)=9.0HZ
Hz ppm Int.3609.38 9.032 500 2819.70 7.056 131 2811.28 7.035 140 2610.47 6.532 96 2607.91 6.526 107 2605.10 6.519 34 2602.05 6.511 91 2599.61 6.505 103 2581.05 6.459 194 2578.74 6.453 160 1109.25 2.776 58 1108.64 2.775 58 1106.69 2.770 47 1098.14 2.748 132 1093.38 2.736 123 983.15 2.461 67 974.98 2.440 66 964.36 2.414 84 956.05 2.393 79 917.36 2.296 69 851.32 2.131 60 841.92 2.107 50 841.19 2.105 50 838.99 2.100 61 834.96 2.090 31 830.44 2.078 92 821.29 2.056 70 811.52 2.031 71 802.73 2.009 50 782.84 1.959 52 765.99 1.917 85 755.86 1.892 61 701.78 1.756 67 699.46 1.751 72 693.12 1.735 80 690.80 1.729 78 630.25 1.578 38 629.64 1.576 38 627.69 1.571 40 627.20 1.570 41 626.46 1.568 40 624.02 1.562 32 623.41 1.560 32 618.16 1.547 62 617.68 1.546 62 615.36 1.540 44 612.67 1.534 34 608.28 1.523 54 606.32 1.518 58 602.91 1.509 34 602.17 1.507 34 601.44 1.505 35 596.68 1.494 75 595.83 1.491 74 595.46 1.490 74 585.69 1.466 148 580.69 1.453 86 578.86 1.449 82 576.54 1.443 75 575.93 1.442 75 575.07 1.439 72 574.22 1.437 70 562.74 1.409 33 562.38 1.408 33 561.89 1.406 34 561.40 1.405 34 561.04 1.404 34 560.42 1.403 34 559.69 1.401 35 558.84 1.399 36 558.47 1.398 37 557.37 1.395 34 556.15 1.392 32 555.66 1.391 31 555.18 1.390 31 547.24 1.370 149 538.09 1.347 194 534.18 1.337 105 531.74 1.331 81 531.01 1.329 81 528.08 1.322 75 527.59 1.321 75 527.22 1.320 75 526.73 1.318 75 523.19 1.310 53 522.58 1.308 52 521.48 1.305 51 518.19 1.297 36 517.09 1.294 38 514.89 1.289 47 338.38 0.847 32 337.52 0.845 32 337.04 0.844 33 326.17 0.817 1000
更多供应商






