图谱信息 供应商 相关产品
网站主页CAS数据库列表 53-41-8更多图谱雄酮(53-41-8)质谱(MS)

雄酮

产品名称 雄酮

CAS号53-41-8

分子式C19H30O2

分子量290.44

展开


  • Mass

    MS-NW-8754          
    androsterone
    C19H30O2            (Mass of molecular ion:    290)
    

       Source Temperature: 190 °C
       Sample Temperature: 120 °C
       Direct, 75 eV
    

          17.0       1.3
          18.0       7.0
          27.0       1.8
          28.0       1.5
          29.0       4.9
          39.0       2.9
          41.0      16.7
          42.0       1.3
          43.0       6.7
          53.0       5.8
          54.0       1.8
          55.0      18.2
          56.0       1.3
          57.0       4.3
          65.0       2.9
          66.0       1.5
          67.0      21.1
          68.0       4.2
          69.0       6.3
          70.0       1.1
          71.0       1.3
          77.0       8.1
          78.0       2.1
          79.0      19.7
          80.0       5.0
          81.0      19.4
          82.0       4.4
          83.0       3.9
          91.0      16.8
          92.0       4.4
          93.0      22.1
          94.0      11.6
          95.0      15.3
          96.0       3.8
          97.0      17.0
          98.0       1.7
         101.0       1.1
         104.0       1.0
         105.0      14.6
         106.0      10.6
         107.0      33.7
         108.0      38.3
         109.0      15.2
         110.0      12.9
         111.0       3.9
         115.0       2.6
         117.0       3.1
         118.0       2.3
         119.0      10.4
         120.0      10.1
         121.0      12.7
         122.0      12.9
         123.0       8.0
         124.0      18.4
         125.0       3.4
         129.0       1.4
         131.0       6.0
         132.0       2.4
         133.0       9.5
         134.0       6.9
         135.0       7.6
         136.0       6.6
         137.0       3.9
         138.0       2.2
         143.0       1.9
         144.0       1.9
         145.0       8.6
         146.0       6.7
         147.0      18.9
         148.0      11.1
         149.0       8.7
         150.0       3.4
         151.0       6.6
         152.0       1.7
         157.0       1.9
         158.0       1.9
         159.0       6.2
         160.0       5.1
         161.0       9.4
         162.0       4.4
         163.0       3.5
         164.0      10.9
         165.0      11.9
         166.0       3.9
         171.0       1.7
         172.0       1.2
         173.0       5.5
         174.0       3.5
         175.0       4.2
         176.0       4.6
         177.0       2.6
         178.0       1.8
         185.0       1.4
         186.0       1.1
         187.0       3.5
         188.0       2.0
         189.0       2.5
         190.0       9.7
         191.0       3.3
         194.0       1.0
         197.0       1.2
         199.0       2.6
         200.0       1.3
         201.0       9.9
         202.0       3.2
         203.0       1.7
         204.0       1.0
         213.0      12.4
         214.0       3.1
         215.0      12.8
         216.0      12.5
         217.0       5.3
         218.0       8.0
         219.0       7.0
         220.0       1.5
         228.0       6.2
         229.0       5.1
         230.0       3.3
         231.0       7.5
         232.0       2.3
         233.0       6.5
         234.0       7.0
         235.0       1.2
         239.0      10.8
         240.0       2.2
         241.0       1.5
         243.0       1.0
         244.0       2.6
         246.0      27.9
         247.0       6.6
         248.0       3.2
         254.0       7.1
         255.0       2.3
         256.0       3.2
         257.0      19.7
         258.0       4.0
         262.0       1.0
         272.0      24.4
         273.0       5.5
         274.0       2.0
         275.0      13.9
         276.0       2.8
         288.0       2.1
         290.0     100.0
         291.0      20.6
         292.0       2.6
    

400 MHz in CDCl3


  • 1H NMR 399.65 MHz
    C19 H30 O2 0.027 g : 0.5 ml CDCl3
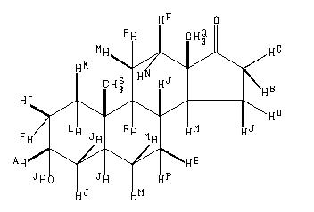
    androsterone
    ChemicalStructure
        Assign.     Shift(ppm)
    A 4.053 B 2.431 C 2.069 D 1.94 E 1.80 F 1.66 J 1.56 to 1.48 K 1.46 L 1.33 M 1.31 to 1.23 N 1.22 P 1.022 Q 0.861 R 0.84 S 0.808 ASSIGNED BY H-H AND C-H COSY. J(B,C)=-19.3HZ J(C,D)=9.0HZ J(D,J)=-12.3HZ J(D,M)=5.7HZ J(B,D)=0.9HZ J(B,J)=9.0HZ

         Hz     ppm     Int.
    

       1622.68   4.061     74
       1619.87   4.054    106
       1617.31   4.047     72
        987.55   2.472     45
        986.69   2.469     47
        978.64   2.449     53
        977.78   2.447     51
        968.26   2.423     59
        967.41   2.421     63
        959.35   2.401     65
        958.74   2.399     62
        845.58   2.116     43
        836.55   2.094    102
        827.39   2.071     68
        826.42   2.068     48
        817.38   2.046     79
        808.35   2.023     52
        724.49   1.813    105
        721.56   1.806     90
        718.99   1.800     45
        715.33   1.790     63
        712.77   1.784    106
        709.72   1.776     76
        678.96   1.699     72
        677.25   1.695     62
        676.03   1.692     74
        674.80   1.689     60
        672.97   1.684     52
        671.51   1.681     56
        666.50   1.668     88
        663.82   1.662     71
        663.57   1.661     71
        662.60   1.658     77
        661.50   1.656     70
        659.30   1.650     71
        657.35   1.645     82
        654.54   1.638     77
        652.22   1.632     74
        649.66   1.626     41
        647.83   1.621     41
        639.89   1.602     62
        638.31   1.598     56
        635.25   1.590     73
        631.71   1.581     49
        629.15   1.575     68
        627.56   1.571     69
        624.51   1.563     98
        621.09   1.555     82
        619.26   1.550    120
        617.31   1.545    117
        613.89   1.537     81
        610.47   1.528     84
        606.45   1.518    143
        603.52   1.511    117
        601.56   1.506     62
        598.02   1.497    124
        594.48   1.488     91
        593.63   1.486     93
        590.82   1.479     83
        588.87   1.474     62
        585.45   1.465    103
        582.28   1.457     68
        580.81   1.454     62
        577.88   1.446     50
        576.66   1.443     45
        567.99   1.422     79
        565.55   1.416     73
        554.69   1.388     45
        552.12   1.382     41
        547.97   1.372     47
        543.09   1.359     45
        534.30   1.337     71
        530.03   1.327     69
        526.25   1.317     66
        520.63   1.303    124
        517.21   1.295     85
        515.75   1.291     95
        513.55   1.285     79
        507.81   1.271    175
        506.10   1.267    172
        504.39   1.263    143
        502.81   1.259    154
        498.66   1.248     93
        496.70   1.243    124
        493.53   1.235     85
        492.19   1.232     81
        480.83   1.204     44
        415.77   1.041     52
        410.52   1.028     45
        403.44   1.010     48
        344.12   0.862   1000
        338.62   0.848     45
        337.40   0.845     43
        337.16   0.844     43
        334.23   0.837     76
        322.88   0.808    919
    

in CDCl3



KBr disc



nujol mull