图谱信息 供应商 相关产品
网站主页CAS数据库列表 53-43-0更多图谱去氢表雄酮(53-43-0)红外图谱(IR3)

去氢表雄酮

产品名称 去氢表雄酮

CAS号53-43-0

分子式C19H28O2

分子量288.43

展开


  • Mass

    MS-NW-2331          
    3beta-hydroxy-5-androsten-17-one
    C19H28O2            (Mass of molecular ion:    288)
    

       Source Temperature: 200 °C
       Sample Temperature: 130 °C
       Direct, 75 eV
    

          17.0       1.6
          18.0       7.8
          27.0       9.3
          28.0       2.9
          29.0      12.4
          31.0       2.3
          39.0      12.0
          40.0       2.5
          41.0      36.3
          42.0       2.1
          43.0       9.0
          44.0       1.3
          51.0       3.6
          52.0       1.9
          53.0      14.1
          54.0       2.2
          55.0      26.1
          56.0       1.6
          57.0       8.9
          63.0       1.5
          65.0       9.0
          66.0       3.2
          67.0      23.9
          68.0       3.4
          69.0       7.0
          71.0       2.0
          77.0      20.1
          78.0       6.4
          79.0      34.7
          80.0       6.2
          81.0      25.3
          82.0       3.5
          83.0       6.3
          84.0       1.6
          85.0       2.0
          91.0      42.9
          92.0      11.6
          93.0      38.1
          94.0      13.2
          95.0      17.7
          96.0       3.9
          97.0      34.2
          98.0       4.3
          99.0       1.1
         103.0       4.3
         104.0       3.4
         105.0      41.8
         106.0      15.4
         107.0      49.7
         108.0      12.0
         109.0      10.6
         110.0       5.3
         111.0       4.8
         114.0       1.0
         115.0       7.3
         116.0       3.2
         117.0      13.8
         118.0       7.8
         119.0      27.0
         120.0      23.7
         121.0      32.5
         122.0       9.0
         123.0       9.7
         124.0       8.2
         125.0       9.5
         126.0       1.0
         127.0       1.7
         128.0       6.1
         129.0       9.5
         130.0       4.9
         131.0      19.8
         132.0       8.5
         133.0      19.2
         134.0       9.1
         135.0      14.7
         136.0       5.6
         137.0       5.4
         138.0       2.6
         141.0       4.8
         142.0       3.1
         143.0      17.9
         144.0       6.9
         145.0      30.6
         146.0      10.3
         147.0      11.8
         148.0      13.1
         149.0      12.7
         150.0       6.7
         151.0       4.0
         152.0       1.2
         153.0       1.1
         155.0       3.5
         156.0       2.1
         157.0      12.0
         158.0       7.5
         159.0      26.3
         160.0       8.0
         161.0      10.2
         162.0       4.7
         163.0       5.4
         164.0       3.8
         165.0       1.8
         167.0       1.2
         169.0       3.6
         170.0       2.3
         171.0      10.1
         172.0       7.4
         173.0      12.4
         174.0      13.4
         175.0       8.1
         176.0      20.2
         177.0      39.3
         178.0       8.9
         179.0       2.6
         181.0       2.2
         183.0       3.9
         184.0       1.7
         185.0      11.1
         186.0       4.4
         187.0       6.5
         188.0       4.2
         189.0       4.5
         190.0       3.5
         191.0       1.1
         195.0       3.7
         196.0       1.2
         197.0       5.0
         198.0       2.0
         199.0      11.4
         200.0       4.0
         201.0       6.1
         202.0       8.5
         203.0      47.7
         204.0       8.8
         205.0       2.1
         209.0       1.6
         211.0       6.6
         212.0       3.6
         213.0      21.5
         214.0       9.6
         215.0       6.1
         216.0       5.2
         217.0       3.2
         218.0       1.7
         219.0       1.0
         226.0       2.1
         227.0       9.2
         228.0      10.5
         229.0       8.8
         230.0       4.6
         231.0      15.1
         232.0       3.6
         233.0       1.6
         237.0      12.4
         238.0       2.5
         239.0       1.7
         241.0       4.6
         242.0      11.4
         243.0       2.8
         244.0       8.8
         245.0       5.0
         246.0       1.8
         252.0       2.3
         253.0       1.7
         254.0       1.4
         255.0      68.6
         256.0      13.7
         257.0       2.6
         260.0       3.5
         269.0       1.5
         270.0      68.2
         271.0      14.4
         272.0       4.4
         273.0       9.2
         274.0       1.9
         286.0       5.7
         287.0       1.9
         288.0     100.0
         289.0      20.5
         290.0       3.3
    

90 MHz in CDCl3


  • 1H NMR 89.56 MHz
    C19 H28 O2 0.044 g : 0.5 ml CDCl3
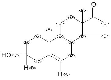
    3beta-hydroxy-5-androsten-17-one
    ChemicalStructure
        Assign.     Shift(ppm)
    A 5.38 B 3.52 C 1.94 D 2.68 to 0.73 E 1.038 F 0.889

         Hz     ppm     Int.
    

        479.63   5.356     67
        310.94   3.472     31
        209.00   2.334    132
        208.31   2.326    128
        207.81   2.321    128
        174.00   1.943    314
        171.00   1.910    157
        169.63   1.895    135
        162.56   1.816    154
        161.31   1.802    167
        158.25   1.767    176
        153.19   1.711    129
        152.19   1.700    139
        149.63   1.671    144
        147.88   1.652    117
        141.25   1.578    147
        140.81   1.573    145
        137.94   1.541    150
        127.75   1.427    128
        119.06   1.330    123
         93.00   1.039    915
         79.63   0.890   1000
    

in CDCl3



CCl4 solution



KBr disc



nujol mull