图谱信息 供应商 相关产品
网站主页CAS数据库列表 53-70-3更多图谱二苯并[a,h]蒽(53-70-3)红外图谱(IR1)

二苯并[a,h]蒽

产品名称 二苯并[a,h]蒽

CAS号53-70-3

分子式C22H14

分子量278.35

展开


  • Mass

    MS-NW-0121          
    dibenz(a,H)anthracene
    C22H14              (Mass of molecular ion:    278)
    

       Source Temperature:   0 °C
       Sample Temperature:   0 °C
       Direct, 75 eV
    

          18.0       1.1
          28.0       1.4
         112.0       1.2
         113.0       1.3
         124.0       1.4
         125.0       3.1
         126.0       1.8
         137.0       3.2
         137.5       1.2
         138.0       6.7
         138.5       2.0
         139.0      12.2
         139.5       3.0
         248.0       1.1
         250.0       2.0
         252.0       1.2
         274.0       4.9
         275.0       2.3
         276.0      17.1
         277.0       6.0
         278.0     100.0
         279.0      23.9
         280.0       3.0
    

400 MHz in CDCl3

90 MHz in CDCl3


  • 1H NMR 399.65 MHz
    C22 H14 saturated in CDCl3
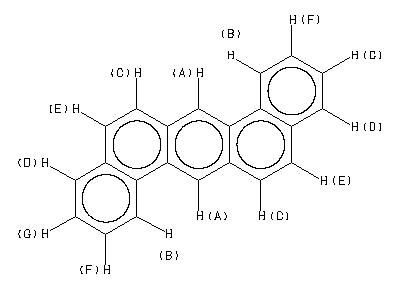
    dibenz(a,h)anthracene
    ChemicalStructure
        Assign.     Shift(ppm)
    A 9.155 B 8.875 C 7.962 D 7.918 E 7.763 F *1 7.722 G *1 7.653 J(B,F)=8.1HZ. J(C,E)=8.9HZ. J(D,G)=7.8HZ.

         Hz     ppm     Int.
    

       3658.69   9.155   1000
       3652.47   9.140     37
       3651.86   9.138     30
       3555.91   8.898     34
       3555.42   8.897     36
       3555.18   8.896     36
       3554.69   8.895     34
       3551.39   8.887    370
       3546.88   8.875     53
       3543.33   8.867    380
       3540.04   8.858     63
       3539.06   8.856     51
       3537.60   8.852     32
       3191.04   7.985     42
       3187.13   7.975    550
       3183.84   7.967     61
       3182.98   7.965     65
       3181.88   7.962     77
       3178.22   7.953    700
       3175.29   7.946     98
       3174.56   7.944    103
       3174.07   7.943     95
       3173.22   7.940     74
       3171.88   7.937     57
       3169.19   7.930    370
       3167.85   7.927    378
       3165.28   7.921    107
       3161.38   7.911    432
       3160.03   7.907    440
       3157.35   7.901     79
       3155.15   7.895     51
       3110.96   7.785     38
       3110.35   7.783     41
       3109.86   7.782     40
       3106.57   7.774    654
       3103.64   7.766     75
       3103.15   7.765     67
       3102.78   7.764     66
       3101.68   7.761     73
       3100.46   7.758     69
       3100.22   7.758     69
       3097.66   7.751    549
       3094.85   7.744    271
       3093.38   7.741    278
       3091.43   7.736     74
       3091.06   7.735     71
       3090.09   7.732     58
       3089.72   7.732     62
       3087.77   7.727    371
       3086.43   7.723    454
       3085.21   7.720    294
       3082.76   7.714     70
       3082.52   7.714     70
       3081.91   7.712     68
       3079.71   7.707    352
       3078.13   7.703    340
       3075.44   7.696     55
       3075.07   7.695     54
       3074.10   7.692     47
       3073.73   7.692     50
       3073.12   7.690     42
       3072.75   7.689     39
       3070.92   7.685     39
       3070.56   7.684     38
       3070.19   7.683     39
       3069.34   7.681     38
       3065.43   7.671    400
       3064.09   7.667    425
       3061.28   7.660     54
       3060.42   7.658     55
       3058.23   7.653    350
       3057.62   7.651    460
       3056.40   7.648    413
       3052.61   7.639     65
       3050.54   7.634    248
       3049.32   7.630    227
       3047.49   7.626     35
    


  • 1H NMR 89.56 MHz
    C22 H14 0.008 g : 0.5 ml CDCl3
    dibenz(a,h)anthracene
    ChemicalStructure
        Assign.     Shift(ppm)
    A 9.144 B 8.86 C 7.94 D 7.90 E 7.76 F 7.72 G 7.63

         Hz     ppm     Int.
    

        819.06   9.146    937
        799.06   8.923    195
        798.50   8.916    191
        797.94   8.910    146
        796.38   8.893    193
        793.06   8.856    125
        792.50   8.849    122
        790.31   8.825    221
        789.75   8.819    248
        789.44   8.815    244
        717.88   8.016    294
        716.81   8.004    118
        713.50   7.967    203
        711.63   7.946    188
        709.00   7.917    748
        707.38   7.899    323
        706.94   7.894    311
        704.25   7.864    401
        700.25   7.819    152
        698.00   7.794    730
        695.88   7.770    130
        693.31   7.742    460
        691.06   7.717    326
        690.13   7.706    556
        689.00   7.694    335
        687.06   7.672   1000
        683.06   7.627    469
        681.25   7.607    306
    

KBr disc



nujol mull