90 MHz in DMSO-d6
-
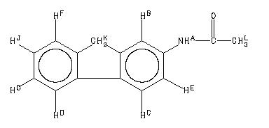
1H NMR 89.56 MHz C15 H13 N O 0.046 g : 0.5 ml DMSO-d6 2-acetamidofluorene 
Assign. Shift(ppm)
A 10.00 B 7.94 C 7.79 D 7.78 E 7.54 F 7.52 G 7.36 J 7.24 K 3.888 L 2.093
Hz ppm Int.895.88 10.004 86 711.94 7.950 108 710.81 7.937 113 702.50 7.844 130 700.13 7.818 83 696.38 7.776 46 694.31 7.753 235 694.19 7.752 235 679.94 7.593 125 678.13 7.572 122 673.06 7.516 80 671.31 7.496 105 670.44 7.486 97 664.81 7.424 33 659.31 7.362 82 657.50 7.342 61 655.44 7.319 117 652.94 7.291 171 650.38 7.262 52 648.56 7.242 72 646.88 7.223 71 348.25 3.889 269 187.44 2.093 1000
更多供应商



