-
MS-NW-0522 esculin C15H16O9 1.5H2O (Mass of molecular ion: 340)
Source Temperature: 230 °C Sample Temperature: 280 °C Direct, 75 eV
14.0 1.2 15.0 3.3 17.0 1.0 18.0 5.5 19.0 3.6 26.0 2.3 27.0 7.0 28.0 6.1 29.0 11.3 30.0 1.8 31.0 9.2 37.0 2.0 38.0 4.0 39.0 9.6 40.0 2.6 41.0 6.7 42.0 9.4 43.0 12.9 44.0 5.2 45.0 6.9 47.0 4.1 49.0 1.8 50.0 10.1 51.0 14.0 52.0 6.7 53.0 7.3 54.0 1.8 55.0 8.5 56.0 6.5 57.0 18.2 58.0 1.2 60.0 30.5 61.0 6.6 62.0 2.4 63.0 3.1 64.0 1.4 65.0 5.7 66.0 8.3 67.0 1.9 68.0 1.7 69.0 16.1 70.0 5.4 71.0 5.4 72.0 2.7 73.0 19.3 74.0 4.7 75.0 6.5 76.0 11.8 77.0 2.4 78.0 1.0 79.0 8.6 80.0 5.7 81.0 4.6 82.0 1.1 83.0 1.5 84.0 1.1 85.0 6.1 86.0 1.1 87.0 3.6 89.0 2.1 91.0 2.4 92.0 1.3 93.0 1.6 94.0 9.7 95.0 1.6 96.0 1.0 97.0 3.2 98.0 3.4 99.0 1.8 101.0 1.2 102.0 1.3 103.0 1.4 104.0 6.2 105.0 1.5 108.0 1.6 109.0 1.6 113.0 1.2 115.0 1.3 120.0 1.0 121.0 6.5 122.0 3.2 126.0 1.2 127.0 2.1 132.0 3.3 144.0 1.4 145.0 2.4 148.0 1.5 149.0 2.5 150.0 86.1 151.0 7.9 152.0 1.1 177.0 2.6 178.0 100.0 179.0 11.2 180.0 1.5
400 MHz in DMSO-d6
-
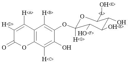
1H NMR 399.65 MHz C15 H16 O9 0.039 g : 0.5 ml DMSO-d6 esculin 
Assign. Shift(ppm)
A 7.873 B 7.424 C 6.850 D 6.253 E *1 5.16 F *1 5.10 G 4.811 K 4.66 L 3.759 PARTIALLY ASSIGNED BY H-H COSY.
Hz ppm Int.3151.25 7.886 427 3141.85 7.862 444 2967.16 7.425 917 2738.04 6.852 1000 2503.78 6.265 619 2494.38 6.242 659 2063.84 5.165 177 2059.81 5.155 174 2039.67 5.104 198 2034.42 5.091 193 1926.51 4.821 295 1919.07 4.802 290 1857.18 4.648 126 1497.92 3.749 110 1497.19 3.747 109 1496.34 3.745 107 1415.53 3.542 107 1409.79 3.528 103 1404.05 3.514 94 1403.69 3.513 94 1371.09 3.431 315 1370.61 3.430 315 1360.84 3.406 181 1358.89 3.401 165 1355.22 3.392 140 1353.03 3.386 135 1351.07 3.381 163 1349.24 3.377 165 1345.58 3.367 207 1343.99 3.363 134 1343.63 3.363 135 1336.79 3.345 276 1334.47 3.340 125 1330.81 3.330 260 1329.35 3.327 294 1325.93 3.318 144 1322.02 3.308 130 1293.82 3.238 93 1289.43 3.227 101 1285.16 3.216 94 1284.79 3.215 94
更多供应商





