图谱信息 供应商 相关产品
网站主页CAS数据库列表 531-81-7更多图谱香豆素-3-羧酸(531-81-7)红外图谱(IR1)

香豆素-3-羧酸

产品名称 香豆素-3-羧酸

CAS号531-81-7

分子式C10H6O4

分子量190.15

展开

400 MHz in DMSO-d6


  • 1H NMR 399.65 MHz
    C10 H6 O4 0.040 g : 0.5 ml DMSO-d6
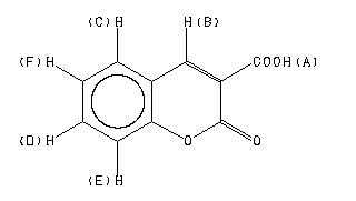
    2-oxo-2H-chromene-3-carboxylic acid
    ChemicalStructure
        Assign.     Shift(ppm)
    A 13. B 8.763 C 7.923 D 7.748 E 7.45 F 7.423

         Hz     ppm     Int.
    

       3502.28   8.764   1000
       3171.29   7.936    297
       3169.79   7.932    321
       3163.38   7.916    327
       3162.10   7.913    336
       3105.90   7.772    176
       3104.19   7.768    178
       3098.42   7.753    243
       3097.35   7.751    319
       3095.85   7.747    251
       3090.09   7.732    235
       3088.59   7.729    224
       2981.75   7.461    437
       2973.84   7.442    536
       2967.43   7.426    412
       2966.58   7.423    377
       2959.95   7.407    216
       2958.88   7.404    200
    

KBr disc



nujol mull



4880 A,200 M,powder