图谱信息 供应商 相关产品
网站主页CAS数据库列表 5317-33-9更多图谱1-(3-羟丙基)-4-甲基哌嗪(5317-33-9)红外图谱(IR1)

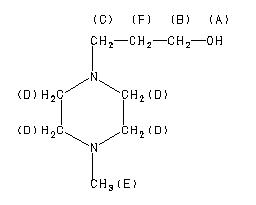
1-(3-羟丙基)-4-甲基哌嗪

产品名称 1-(3-羟丙基)-4-甲基哌嗪

CAS号5317-33-9

分子式C8H18N2O

分子量158.24


  • Mass

    MS-IW-0870          
    3-(4-methyl-1-piperazinyl)-1-propanol
    C8H18N2O            (Mass of molecular ion:    158)
    

       Source Temperature: 220 °C
       Sample Temperature: 150 °C
       Reservoir, 75 eV
    

          15.0       1.4
          18.0       1.4
          27.0       1.8
          28.0       5.1
          29.0       2.0
          30.0       3.1
          31.0       3.2
          41.0       3.3
          42.0      17.9
          43.0      49.3
          44.0      16.8
          54.0       1.4
          55.0       2.3
          56.0      12.8
          57.0      11.4
          58.0      17.2
          59.0       3.1
          70.0      58.8
          71.0      16.4
          72.0       4.7
          82.0       1.3
          84.0       3.7
          85.0       7.5
          86.0       1.5
          87.0       4.0
          88.0       4.2
          97.0       1.4
          98.0       8.0
          99.0       4.2
         100.0       7.1
         101.0       1.0
         102.0       2.9
         111.0       1.6
         113.0     100.0
         114.0      10.0
         127.0       1.6
         157.0       1.1
         158.0      46.3
         159.0       5.2
    

400 MHz in CDCl3


  • 1H NMR 399.65 MHz
    C8 H18 N2 O 0.05 ml : 0.5 ml CDCl3
    3-(4-methyl-1-piperazinyl)-1-propanol
    ChemicalStructure
        Assign.     Shift(ppm)
    A 5.1 B 3.732 C 2.574 D 2.5 E 2.276 F 1.719

         Hz     ppm     Int.
    

       2045.78   5.119     22
       1497.44   3.747    253
       1491.82   3.733    348
       1486.21   3.719    262
       1035.03   2.590    254
       1028.69   2.574    429
       1022.34   2.559    278
        925.90   2.317     21
        923.46   2.311     22
        920.41   2.304     25
        909.91   2.277   1000
        896.85   2.245     27
        699.10   1.750     63
        692.99   1.734    168
        686.89   1.719    205
        681.40   1.705    164
        675.29   1.690     63
    

in CDCl3



liquid film