图谱信息 供应商 相关产品
网站主页CAS数据库列表 5331-91-9更多图谱2-巯基-5-氯苯并噻唑(5331-91-9)核磁图(13CNMR)

2-巯基-5-氯苯并噻唑

产品名称 2-巯基-5-氯苯并噻唑

CAS号5331-91-9

分子式C7H4ClNS2

分子量201.7

展开


  • Mass

    MS-IW-4839          
    5-chloro-2-benzothiazolethiol
    C7H4ClNS2           (Mass of molecular ion:    201)
    

       Source Temperature: 170 °C
       Sample Temperature: 150 °C
       Direct, 75 eV
    

          45.0       2.0
          61.0       1.2
          62.0       2.2
          63.0       5.5
          64.0       3.5
          69.0       4.9
          70.0       1.0
          71.0       1.4
          73.0       1.2
          75.0       1.0
          81.0       1.0
          82.0       1.5
          82.5       1.2
          95.0       1.9
          99.0       1.1
         100.5       9.6
         101.0       1.2
         101.5       3.9
         102.0       1.0
         106.0       1.0
         107.0       5.2
         108.0       5.3
         121.0       1.3
         122.0       2.7
         125.0       3.1
         127.0       1.0
         130.0       1.4
         133.0       1.8
         137.0       3.7
         139.0       6.5
         142.0       5.7
         143.0       5.6
         144.0       2.4
         145.0       2.0
         156.0       1.7
         157.0       1.9
         165.0       5.2
         166.0      27.1
         167.0       3.4
         168.0       2.9
         169.0       5.1
         171.0       1.7
         174.0       1.0
         200.0       2.2
         201.0     100.0
         202.0      10.5
         203.0      40.9
         204.0       4.0
         205.0       3.2
    

400 MHz in DMSO-d6


  • 1H NMR 399.65 MHz
    C7 H4 Cl N S2 0.029 g : 0.5 ml DMSO-d6
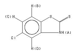
    5-chloro-2-benzothiazolethiol
    ChemicalStructure
        Assign.     Shift(ppm)
    A 13.9 B 7.720 C 7.346 D 7.290

         Hz     ppm     Int.
    

       3090.30   7.733    825
       3086.03   7.722     37
       3081.75   7.712    957
       3076.41   7.698     22
       2941.15   7.360    607
       2939.22   7.355    721
       2932.81   7.339    520
       2930.68   7.334    715
       2925.55   7.321     22
       2919.78   7.306     21
       2914.44   7.293   1000
       2912.51   7.288    832
    

in DMSO-d6



KBr disc



nujol mull