-
MS-IW-3868 N-(bromomethyl)phthalimide C9H6BrNO2 (Mass of molecular ion: 239)
Source Temperature: 140 °C Sample Temperature: 110 °C Direct, 75 eV
28.0 1.9 37.0 2.3 38.0 3.4 49.0 1.4 50.0 17.5 51.0 3.3 52.0 3.4 66.0 5.6 73.0 1.3 74.0 6.5 75.0 6.4 76.0 22.0 77.0 9.6 104.0 20.8 105.0 5.3 130.0 1.3 132.0 4.2 133.0 10.7 160.0 100.0 161.0 10.6
400 MHz in DMSO-d6
-
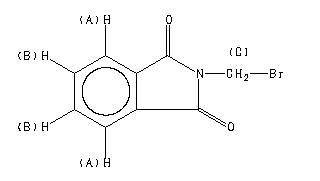
1H NMR 399.65 MHz C9 H6 Br N O2 0.036 g : 0.5 ml DMSO-d6 N-(bromomethyl)phthalimide 
Assign. Shift(ppm)
A 7.92 B 7.89 C 4.980
Hz ppm Int.3172.49 7.939 216 3169.43 7.931 183 3169.07 7.930 188 3167.48 7.926 174 3166.38 7.923 244 3163.57 7.916 405 3160.03 7.907 104 3159.42 7.906 106 3158.69 7.904 107 3158.08 7.903 117 3156.37 7.898 37 3154.54 7.894 356 3154.17 7.893 372 3151.86 7.887 190 3150.63 7.884 162 3149.17 7.880 167 3148.68 7.879 173 3145.75 7.872 201 3142.33 7.863 23 1990.48 4.981 1000
更多供应商






