
3-二甲氨基-Α-甲基苯甲醇
产品名称
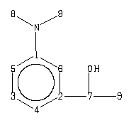
3-二甲氨基-Α-甲基苯甲醇
CAS号5339-01-5
分子式C10H15NO
分子量165.23
InChIInChI=1S/C10H15NO/c1-8(12)9-5-4-6-10(7-9)11(2)3/h4-8,12H,1-3H3
InChIKeyXYGWUVVZDWJPBW-UHFFFAOYSA-N
SmilesC1(C(O)C)C=CC=C(N(C)C)C=1
展开
收起
-
Assign. Shift(ppm)
A 7.18
B 6.71
C 6.69
D 6.63
E 4.76
F 2.904
G 2.36
J 1.444
Spectral Code: 1H NMR : 90 MHz in CDCl3
-
ppm Int. Assign.
150.82 381 1
147.10 530 2
129.00 619 3
114.04 608 4
111.86 630 5
109.92 613 6
70.50 702 7
40.66 1000 8
25.15 470 9
Spectral Code: 13C NMR : in CDCl3
-
Spectral Code: IR : liquid film
-
Spectral Code: Raman : 4880 A,200 M,liquid
3-二甲氨基-Α-甲基苯甲醇(5339-01-5)红外图谱(IR1) 相关产品图谱