图谱信息 供应商 相关产品
网站主页CAS数据库列表 5346-38-3更多图谱吡啶-2-羧硫酸胺(5346-38-3)红外图谱(IR1)

吡啶-2-羧硫酸胺

产品名称 吡啶-2-羧硫酸胺

CAS号5346-38-3

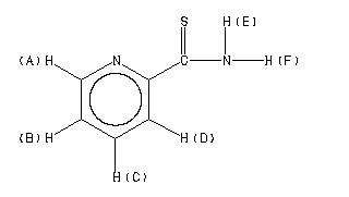
分子式C6H6N2S

分子量138.19

展开



  •     Parameter     ppm  Hz
    D(A) 8.84 D(B) 7.71 D(C) 8.12 D(D) 8.79 J(A,B) 4.8 J(A,C) 1.9 J(A,D) 0.9 J(B,C) 7.4 J(B,D) 0.9 J(C,D) 8.0 D(E) 10.3 D(F) 10.6 J(E,F) 0.0 BRUEGEL,W. Z.ELEKTROCHEM.BER.BUNSENGES.PHYS.CHEM. 66, 159 (1962) H(E) AND H(F) ARE BROAD.
    Spectral Code: 1H NMR : parameter in DMSO-d6

Nujol