图谱信息 供应商 相关产品
网站主页CAS数据库列表 5367-36-2更多图谱2'-(N,N-二甲氨基)-5'-硝基乙酰苯胺(5367-36-2)核磁图(13CNMR)

2'-(N,N-二甲氨基)-5'-硝基乙酰苯胺

产品名称 2'-(N,N-二甲氨基)-5'-硝基乙酰苯胺

CAS号5367-36-2

分子式C10H13N3O3

分子量223.23

展开


  • Mass

    MS-IW-1287          
    2'-dimethylamino-5'-nitroacetanilide
    C10H13N3O3          (Mass of molecular ion:    223)
    

       Source Temperature: 180 °C
       Sample Temperature: 120 °C
       Direct, 75 eV
    

          15.0       3.8
          17.0       1.1
          18.0       5.3
          27.0       2.0
          28.0       4.6
          30.0       6.2
          39.0       3.0
          41.0       1.8
          42.0       7.3
          43.0      18.3
          44.0       8.4
          50.0       1.1
          51.0       2.4
          52.0       2.4
          63.0       2.7
          64.0       1.9
          65.0       4.8
          66.0       1.9
          67.0       1.1
          76.0       1.3
          77.0       2.3
          78.0       2.8
          79.0       1.5
          80.0       1.1
          90.0       1.4
          91.0       3.1
          92.0       9.5
          93.0       3.2
          94.0       2.7
         104.0       1.7
         105.0       2.7
         106.0       3.8
         107.0       2.3
         108.0       2.6
         117.0       1.8
         118.0       5.2
         119.0       9.2
         120.0       5.8
         121.0       1.1
         122.0       1.5
         131.0       2.4
         132.0       8.0
         133.0       9.6
         134.0      28.2
         135.0       6.9
         136.0       2.5
         138.0       1.2
         145.0       1.0
         146.0       1.6
         147.0       5.5
         148.0       2.0
         149.0       2.1
         150.0       1.1
         151.0       2.7
         152.0       2.7
         161.0       1.8
         162.0       7.4
         163.0       6.9
         164.0      14.2
         165.0      15.9
         166.0      35.3
         167.0       3.0
         175.0       1.8
         176.0       2.2
         177.0       6.4
         178.0       4.5
         179.0       1.3
         180.0      87.5
         181.0      22.0
         182.0       2.3
         190.0       1.7
         191.0       3.0
         192.0       1.0
         193.0       5.1
         194.0       1.2
         204.0       1.0
         205.0       1.8
         206.0      10.7
         207.0       3.3
         208.0       7.8
         223.0     100.0
         224.0      13.7
         225.0       1.5
    

90 MHz in CDCl3


  • 1H NMR 89.56 MHz
    C10 H13 N3 O3 0.043 g : 0.5 ml CDCl3
    2'-dimethylamino-5'-nitroacetanilide
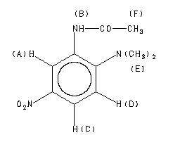
    ChemicalStructure
        Assign.     Shift(ppm)
    A 9.09 B 8.1 C 7.908 D 7.164 E 2.754 F 2.269

         Hz     ppm     Int.
    

        815.00   9.101     39
        812.31   9.071     40
        714.44   7.978     47
        711.75   7.948     45
        705.63   7.879     57
        702.94   7.849     55
        645.50   7.208     84
        636.69   7.110     65
        246.75   2.756   1000
        203.25   2.270    554
    

in CDCl3



KBr disc



nujol mull