图谱信息 供应商 相关产品
网站主页CAS数据库列表 537-40-6更多图谱甘油三亚油酸酯(537-40-6)红外图谱(IR1)

甘油三亚油酸酯

产品名称 甘油三亚油酸酯

CAS号537-40-6

分子式C57H98O6

分子量879.38

展开


  • Mass

    MS-IW-5614          
    1,2,3-propanetriyl tris(cis,cis-9,12-octadecadienoate)
    C57H98O6            (Mass of molecular ion:    878)
    

       Source Temperature: 190 °C
       Sample Temperature: 240 °C
       Direct, 75 eV
    

          15.0       1.0
          17.0       1.0
          18.0       4.3
          26.0       3.8
          27.0      15.1
          28.0      12.0
          29.0      18.5
          31.0       1.3
          38.0       1.0
          39.0      13.9
          40.0       3.6
          41.0      52.9
          42.0      10.3
          43.0      35.1
          44.0       5.2
          45.0       3.3
          50.0       1.1
          51.0       2.3
          52.0       1.6
          53.0      11.0
          54.0      31.1
          55.0      84.0
          56.0      12.4
          57.0      25.2
          58.0       2.3
          59.0       1.5
          60.0       5.8
          61.0       1.1
          63.0       1.1
          65.0       5.6
          66.0       7.0
          67.0     100.0
          68.0      32.5
          69.0      44.9
          70.0       5.6
          71.0      10.2
          72.0       1.1
          73.0       5.2
          77.0      10.4
          78.0       5.7
          79.0      41.0
          80.0      27.0
          81.0      83.0
          82.0      38.6
          83.0      27.3
          84.0       6.6
          85.0       7.6
          87.0       1.8
          91.0      24.4
          92.0       8.8
          93.0      27.0
          94.0      15.8
          95.0      61.1
          96.0      30.5
          97.0      18.1
          98.0      11.4
          99.0       7.1
         100.0       1.5
         101.0       2.8
         103.0       1.5
         104.0       1.9
         105.0      20.4
         106.0       6.8
         107.0      17.1
         108.0      10.6
         109.0      31.1
         110.0      19.1
         111.0      10.0
         112.0       3.7
         113.0       3.9
         114.0       1.3
         115.0       3.4
         116.0       2.8
         117.0       8.3
         118.0       2.0
         119.0      10.5
         120.0       4.7
         121.0      17.1
         122.0       8.6
         123.0      21.5
         124.0      11.2
         125.0       5.7
         126.0       2.5
         127.0       4.8
         128.0       2.3
         129.0       7.5
         130.0       1.9
         131.0       9.1
         132.0       2.4
         133.0       9.3
         134.0       4.4
         135.0      15.9
         136.0      10.5
         137.0      13.1
         138.0       6.5
         139.0       3.3
         140.0       2.4
         141.0       2.4
         142.0       1.1
         143.0       4.0
         144.0       1.3
         145.0       5.3
         146.0       2.2
         147.0       8.9
         148.0       4.5
         149.0      13.4
         150.0       8.8
         151.0       8.9
         152.0       3.9
         153.0       5.0
         154.0       2.1
         155.0       4.2
         156.0       1.0
         157.0       2.6
         158.0       1.5
         159.0       4.9
         160.0       2.0
         161.0       7.1
         162.0       4.1
         163.0       9.9
         164.0       6.6
         165.0       6.6
         166.0       2.2
         167.0       2.8
         168.0       2.8
         169.0       2.2
         171.0       3.8
         172.0       1.0
         173.0       3.6
         174.0       1.3
         175.0       5.7
         176.0       3.1
         177.0       5.8
         178.0       3.9
         179.0       3.1
         180.0       1.7
         181.0       2.6
         182.0       2.2
         183.0       2.7
         185.0       3.2
         186.0       1.0
         187.0       4.0
         188.0       1.2
         189.0       5.3
         190.0       2.4
         191.0       4.2
         192.0       1.6
         193.0       2.5
         194.0       1.9
         195.0       2.6
         196.0       2.1
         197.0       1.6
         199.0       2.8
         200.0       1.0
         201.0       4.4
         202.0       1.2
         203.0       3.0
         204.0       1.5
         205.0       3.3
         206.0       2.4
         207.0       2.1
         208.0       1.1
         209.0       2.5
         210.0       1.7
         211.0       1.8
         213.0       2.7
         214.0       1.3
         215.0       3.0
         217.0       2.0
         218.0       2.6
         219.0       2.9
         220.0       2.8
         221.0       2.6
         222.0       1.4
         223.0       2.5
         225.0       1.4
         227.0       2.1
         228.0       1.5
         229.0       2.5
         230.0       1.1
         231.0       1.6
         232.0       3.5
         233.0       2.5
         234.0       4.7
         235.0       2.7
         236.0       1.1
         237.0       2.3
         238.0       1.1
         239.0       2.1
         241.0       2.4
         242.0       1.2
         243.0       2.6
         244.0       1.6
         245.0       3.3
         246.0       1.5
         247.0       2.0
         248.0       1.2
         249.0       1.2
         251.0       2.0
         253.0       2.2
         254.0       1.0
         255.0       2.7
         256.0       1.1
         257.0       1.7
         258.0       2.8
         259.0       5.2
         260.0      18.4
         261.0      12.7
         262.0      26.2
         263.0      18.7
         264.0       5.1
         265.0       2.7
         267.0       1.5
         269.0       1.2
         271.0       1.3
         273.0       1.4
         274.0       1.7
         275.0       1.9
         276.0       2.4
         277.0       4.2
         278.0       3.1
         279.0       7.4
         280.0      13.5
         281.0       4.2
         283.0       1.1
         285.0       1.3
         287.0       1.3
         288.0       1.5
         289.0       1.1
         291.0       1.3
         293.0       1.3
         299.0       1.1
         301.0       1.3
         303.0       1.0
         304.0       1.1
         305.0       1.5
         307.0       1.0
         311.0       1.3
         315.0       1.2
         316.0       1.5
         317.0       2.1
         318.0       2.2
         319.0       2.7
         320.0       1.4
         321.0       2.9
         323.0       1.3
         331.0       1.2
         333.0       3.1
         334.0       2.1
         335.0       4.8
         336.0       6.4
         337.0      16.0
         338.0       4.4
         339.0       5.8
         340.0       1.6
         341.0       1.1
         349.0       1.0
         351.0       3.3
         352.0       1.2
         353.0       2.0
         355.0       1.2
         359.0       1.1
         367.0       1.4
         369.0       1.2
         371.0       1.4
         379.0       1.4
         381.0       1.2
         382.0       1.3
         383.0       1.0
         384.0       1.0
         391.0       4.9
         392.0       1.7
         393.0       1.1
         394.0       1.4
         395.0       1.0
         396.0       2.5
         397.0       2.0
         405.0       1.1
         447.0       1.7
         448.0       1.0
         449.0       1.0
         461.0       1.2
         462.0       1.4
         463.0       1.5
         464.0       1.1
         487.0       1.0
         597.0       1.9
         598.0       4.1
         599.0       5.9
         600.0       2.6
         601.0       1.3
         615.0       1.2
         616.0       1.0
         878.0       1.9
    

400 MHz in CDCl3


  • 1H NMR 399.65 MHz
    C57 H98 O6 0.05 ml : 0.5 ml CDCl3
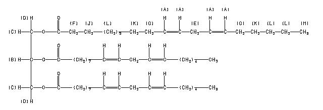
    1,2,3-propanetriyl tris(cis,cis-9,12-octadecadienoate)
    ChemicalStructure
        Assign.     Shift(ppm)
    A 5.35 B 5.27 C *1 4.295 D *1 4.147 E 2.769 F 2.315 G 2.049 J 1.61 K 1.36 L 1.30 M 0.889

         Hz     ppm     Int.
    

       2147.71   5.374    123
       2146.48   5.371    166
       2141.85   5.360    227
       2140.63   5.357    210
       2139.77   5.355    231
       2136.11   5.345    150
       2134.89   5.342    251
       2133.91   5.340    179
       2132.93   5.337    171
       1726.56   4.321     61
       1722.29   4.310     68
       1714.60   4.291     86
       1710.33   4.280     87
       1665.77   4.169     99
       1659.91   4.154    104
       1653.93   4.139     82
       1647.95   4.124     75
       1113.77   2.787    116
       1107.06   2.771    219
       1100.83   2.755    136
        933.96   2.337    122
        931.76   2.332    182
        929.32   2.326     99
        926.51   2.319    210
        924.32   2.313    300
        918.95   2.300    136
        916.63   2.294    191
        829.22   2.075    143
        822.39   2.058    341
        815.55   2.041    349
        808.84   2.024    146
        643.80   1.611    174
        522.58   1.308   1000
        372.56   0.933     40
        371.95   0.931     40
        371.22   0.929     41
        370.97   0.929     41
        362.55   0.908    312
        360.23   0.902    191
        355.71   0.891    800
        353.03   0.884    205
        348.75   0.873    341
        345.95   0.866    103
        342.29   0.857     59
        339.84   0.851     38
        338.38   0.847     36
    

in CDCl3



liquid film