图谱信息 供应商 相关产品
网站主页CAS数据库列表 53732-41-5更多图谱(4S,5S)-(-)-2-甲基-5-苯基-2-噁唑啉-4-甲醇(53732-41-5)质谱(MS)

(4S,5S)-(-)-2-甲基-5-苯基-2-噁唑啉-4-甲醇

产品名称 (4S,5S)-(-)-2-甲基-5-苯基-2-噁唑啉-4-甲醇

CAS号53732-41-5

分子式C11H13NO2

分子量191.23

展开


  • Mass

    MS-NW-6692          
    (4S,5S)-(-)-2-methyl-5-phenyl-2-oxazoline-4-methanol
    C11H13NO2           (Mass of molecular ion:    191)
    

       Source Temperature: 170 °C
       Sample Temperature: 120 °C
       Direct, 75 eV
    

          15.0       3.7
          18.0       1.9
          27.0       2.0
          28.0       3.0
          29.0       1.8
          30.0       3.2
          31.0       2.1
          39.0       2.4
          41.0       1.0
          42.0       8.2
          43.0      83.5
          44.0       4.6
          50.0       1.6
          51.0       5.4
          52.0       1.4
          53.0       1.0
          57.0       2.4
          59.0       1.7
          60.0      63.5
          61.0       1.8
          63.0       1.3
          65.0       1.6
          68.0       6.6
          77.0      13.1
          78.0       2.6
          79.0      11.6
          84.0       1.9
          85.0     100.0
          86.0       7.4
          89.0       1.5
          90.0       1.3
          91.0      10.3
          92.0       1.0
         102.0      10.5
         103.0       5.6
         104.0       1.0
         105.0       3.4
         107.0       8.0
         117.0       1.4
         118.0       7.6
         119.0       8.1
         120.0       1.3
         132.0       1.4
         136.0       5.8
         160.0       5.6
         161.0       1.3
         178.0       1.1
         191.0       1.1
    

400 MHz in CDCl3


  • 1H NMR 399.65 MHz
    C11 H13 N O2 0.037 g : 0.5 ml CDCl3
    (4S,5S)-(-)-2-methyl-5-phenyl-2-oxazoline-4-methanol
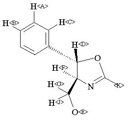
    ChemicalStructure
        Assign.     Shift(ppm)
    A 7.37 B 7.31 C 7.28 D 5.336 E 4.67 F 3.996 G *1 3.878 J *1 3.633 K 2.073 J(G,J)=11.8HZ. J(G,F)=3.7HZ. J(J,F)=4.0HZ. J(D,F)=7.6HZ.

         Hz     ppm     Int.
    

       2954.71   7.394     69
       2952.88   7.389    113
       2951.29   7.385     61
       2948.24   7.378     82
       2946.04   7.372    291
       2944.46   7.368    188
       2940.19   7.357    150
       2938.84   7.354    357
       2938.11   7.352    288
       2936.52   7.348    146
       2933.96   7.342    122
       2932.25   7.338    216
       2930.66   7.334    205
       2929.20   7.330    163
       2927.98   7.327    176
       2925.29   7.320    207
       2921.75   7.311    110
       2920.65   7.309    110
       2919.43   7.305     75
       2917.97   7.302     83
       2916.38   7.298     65
       2912.48   7.288    322
       2910.77   7.284    337
       2908.57   7.278    102
       2905.64   7.271    177
       2136.60   5.347    213
       2128.91   5.327    216
       1604.86   4.016     36
       1603.52   4.013     46
       1601.07   4.007     66
       1599.73   4.003     68
       1598.63   4.001     57
       1597.29   3.997     69
       1595.95   3.994     69
       1593.51   3.988     64
       1592.16   3.984     63
       1589.72   3.978     41
       1588.38   3.975     35
       1557.86   3.899     95
       1554.32   3.890     81
       1546.02   3.869    115
       1542.48   3.860     96
       1458.98   3.651     90
       1454.96   3.641     85
       1447.14   3.622     73
       1443.12   3.611     65
        829.22   2.075   1000
        827.76   2.072    971
    

in CDCl3



KBr disc



nujol mull