图谱信息 供应商 相关产品
网站主页CAS数据库列表 538-58-9更多图谱二亚苄叉丙酮DBA(538-58-9)核磁图(13CNMR)

二亚苄叉丙酮DBA

产品名称 二亚苄叉丙酮DBA

CAS号538-58-9

分子式C17H14O

分子量234.29

展开


  • Mass

    MS-NW-6013          
    1,5-diphenyl-1,4-pentadien-3-one
    C17H14O             (Mass of molecular ion:    234)
    

       Source Temperature: 160 °C
       Sample Temperature: 120 °C
       Direct, 75 eV
    

          18.0       2.5
          27.0       2.3
          28.0       1.8
          39.0       3.5
          50.0       5.7
          51.0      18.1
          52.0       3.2
          53.0       1.2
          62.0       1.5
          63.0       4.5
          65.0       1.3
          74.0       2.5
          75.0       3.9
          76.0       5.4
          77.0      48.7
          78.0       5.5
          89.0       5.1
          90.0       1.0
          91.0      26.6
          92.0       2.2
         101.0       4.1
         102.0      13.0
         103.0      61.6
         104.0       9.5
         105.0       1.5
         115.0       5.8
         116.0       2.6
         116.5       1.6
         117.0       1.6
         127.0       2.7
         128.0      17.2
         129.0       7.3
         130.0       1.0
         131.0      42.7
         132.0       4.8
         156.0      10.3
         157.0       4.1
         165.0       2.9
         178.0       2.9
         179.0       2.5
         189.0       1.9
         190.0       2.4
         191.0       9.0
         192.0       1.9
         202.0       3.1
         203.0       4.2
         204.0       3.3
         205.0      15.3
         206.0       8.4
         207.0       1.7
         215.0       2.8
         216.0       1.2
         217.0       1.3
         218.0       1.0
         219.0       1.0
         232.0       1.1
         233.0      68.6
         234.0     100.0
         235.0      18.1
         236.0       2.1
    

90 MHz in CDCl3


  • 1H NMR 89.56 MHz
    C17 H14 O 0.045 g : 0.5 ml CDCl3
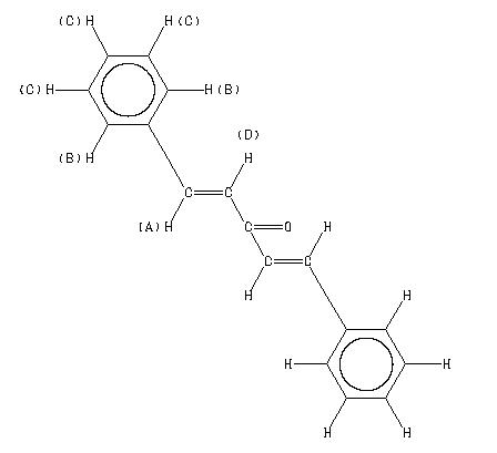
    1,5-diphenyl-1,4-pentadien-3-one
    ChemicalStructure
        Assign.     Shift(ppm)
    A 7.71 B 7.59 C 7.49 to 7.27 D 7.080

         Hz     ppm     Int.
    

        701.19   7.830    362
        685.31   7.652    670
        683.13   7.628    251
        682.56   7.622    278
        680.81   7.602    263
        679.13   7.583    360
        678.00   7.571    260
        677.56   7.566    248
        676.44   7.553    502
        674.06   7.527    121
        673.44   7.520    113
        672.63   7.511    130
        671.88   7.503     97
        671.13   7.494     84
        668.06   7.460    183
        666.63   7.444    281
        664.75   7.423    865
        663.63   7.410    359
        661.38   7.385    719
        659.94   7.369    350
        658.13   7.349    689
        657.13   7.338    188
        656.50   7.331    187
        654.38   7.307    105
        640.19   7.149   1000
        624.25   6.971    615
    

in CDCl3



KBr disc



nujol mull