
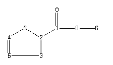
噻吩-2-羧酸甲酯
产品名称
噻吩-2-羧酸甲酯
CAS号5380-42-7
分子式C6H6O2S
分子量142.18
InChIInChI=1S/C6H6O2S/c1-8-6(7)5-3-2-4-9-5/h2-4H,1H3
InChIKeyPGBFYLVIMDQYMS-UHFFFAOYSA-N
SmilesC1(C(OC)=O)SC=CC=1
展开
收起
-
Assign. Shift(ppm)
A 7.789
B 7.534
C 7.078
D 3.868
Spectral Code: 1H NMR : 90 MHz in CDCl3
-
ppm Int. Assign.
162.68 125 1
133.63 130 2
133.45 835 3
132.32 1000 4
127.73 940 5
52.12 700 6
K.TAKAHASHI ET AL. BULL.CHEM.SOC.JPN., <58>, 1587 (1985)
Spectral Code: 13C NMR : in CDCl3
-
Spectral Code: IR : liquid film
噻吩-2-羧酸甲酯(5380-42-7)红外图谱(IR1) 相关产品图谱