-
MS-NW-7265 2-methoxy-1-naphthalenecarbaldehyde C12H10O2 (Mass of molecular ion: 186)
Source Temperature: 220 °C Sample Temperature: 190 °C Reservoir, 75 eV
15.0 4.5 18.0 2.1 27.0 1.6 28.0 3.9 29.0 3.3 37.0 1.2 38.0 2.5 39.0 8.2 41.0 1.0 43.0 1.0 45.0 2.6 50.0 6.3 51.0 7.9 52.0 1.6 53.0 1.2 57.0 1.3 57.5 2.9 61.0 2.7 62.0 9.1 63.0 18.1 63.5 1.1 64.0 4.4 65.0 5.8 71.0 2.4 71.5 1.3 73.0 1.0 74.0 7.8 75.0 8.3 76.0 5.0 77.0 6.8 78.0 1.4 85.0 1.6 85.5 3.4 86.0 5.2 87.0 6.5 88.0 7.9 89.0 8.9 91.0 2.0 93.0 4.4 98.0 2.5 99.0 1.8 100.0 1.4 101.0 3.6 102.0 2.3 113.0 8.7 114.0 26.5 115.0 42.7 116.0 5.0 119.0 2.1 125.0 1.4 126.0 45.1 127.0 25.8 128.0 29.8 129.0 20.4 130.0 3.5 139.0 1.1 140.0 9.9 141.0 10.2 142.0 20.3 143.0 7.6 144.0 5.3 154.0 15.6 155.0 6.1 156.0 1.1 157.0 6.4 158.0 4.6 168.0 8.7 169.0 26.5 170.0 12.2 171.0 12.2 172.0 1.6 185.0 54.9 186.0 100.0 187.0 12.8 188.0 1.3
400 MHz in CDCl3
-
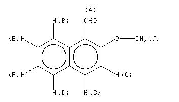
1H NMR 399.65 MHz C12 H10 O2 0.038 g : 0.5 ml CDCl3 2-methoxy-1-naphthalenecarbaldehyde 
Assign. Shift(ppm)
A 10.86 B 9.267 C 7.997 D 7.734 E 7.596 F 7.393 G 7.223 J 3.987 ASSIGNED BY C-H COSY.
Hz ppm Int.4340.97 10.862 458 3708.95 9.281 87 3707.89 9.278 96 3699.04 9.256 100 3200.84 8.010 123 3191.68 7.987 130 3095.70 7.747 79 3095.09 7.745 80 3087.46 7.726 89 3087.01 7.725 89 3044.59 7.619 50 3043.21 7.615 52 3037.72 7.601 63 3036.19 7.598 90 3034.52 7.593 57 3029.02 7.580 60 3027.65 7.576 59 2962.34 7.413 69 2961.12 7.410 73 2955.47 7.396 64 2954.25 7.393 117 2953.03 7.390 75 2947.39 7.375 52 2946.17 7.372 56 2891.08 7.235 170 2881.93 7.212 161 1593.48 3.988 1000
更多供应商






