图谱信息 供应商 相关产品
网站主页CAS数据库列表 53934-75-1更多图谱NΑ,NΩ-二苄氧羰基-L-精氨酸(53934-75-1)核磁图(1HNMR)

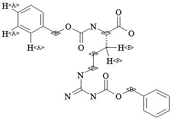
NΑ,NΩ-二苄氧羰基-L-精氨酸

产品名称 NΑ,NΩ-二苄氧羰基-L-精氨酸

CAS号53934-75-1

分子式C22H26N4O6

分子量442.46

展开


  • Mass

    MS-NW-2409          
    N(alpha),N(omega)-bis(benzyloxycarbonyl)-L-arginine
    C22H26N4O6          (Mass of molecular ion:    442)
    

       Source Temperature: 260 °C
       Sample Temperature: 240 °C
       Direct, 75 eV
    

          16.0       2.2
          17.0       3.4
          18.0      17.2
          26.0       2.6
          27.0       8.1
          28.0      21.4
          29.0       4.7
          30.0       1.9
          31.0       3.2
          37.0       2.1
          38.0       3.5
          39.0      13.4
          40.0       1.7
          41.0       3.3
          42.0       2.8
          43.0       4.4
          44.0      48.8
          49.0       1.2
          50.0      10.5
          51.0      22.3
          52.0       7.1
          53.0       5.4
          53.5       1.5
          54.0       1.8
          55.0       1.6
          56.0       1.5
          61.0       1.8
          62.0       2.5
          63.0       6.1
          64.0       1.7
          65.0       9.5
          66.0       1.1
          68.0       1.0
          69.0       3.4
          70.0       1.9
          74.0       3.0
          75.0       1.8
          76.0       1.7
          77.0      52.5
          78.0      13.5
          79.0     100.0
          80.0      10.8
          85.0       1.0
          89.0       6.9
          90.0       9.3
          91.0      29.0
          92.0       4.7
          97.0       1.4
          99.0       1.5
         105.0       7.7
         106.0       5.2
         107.0      64.8
         108.0      90.8
         109.0       7.2
         110.0       1.0
         113.0       1.0
         141.0       1.6
    

400 MHz in DMSO-d6


  • 1H NMR 399.65 MHz
    C22 H26 N4 O6 0.031 g : 0.5 ml DMSO-d6
    N(alpha),N(omega)-bis(benzyloxycarbonyl)-L-arginine
    ChemicalStructure
        Assign.     Shift(ppm)
    A 7.35 B 5.03 C 3.94 D 3.11 E *1 1.72 F *1 1.53

         Hz     ppm     Int.
    

       2939.00   7.354    741
       2937.16   7.350    376
       2935.49   7.346    353
       2931.82   7.336   1000
       2008.97   5.027    437
       1566.47   3.920     44
       1244.81   3.115     67
        687.41   1.721     31
        611.57   1.531     47
    

KBr disc



nujol mull