图谱信息 供应商 相关产品
网站主页CAS数据库列表 54-42-2更多图谱碘苷(54-42-2)核磁图(1HNMR)

碘苷

产品名称 碘苷

CAS号54-42-2

分子式C9H11IN2O5

分子量354.1

展开


  • Mass

    MS-NW-2016          
    2'-deoxy-5-iodouridine
    C9H11IN2O5          (Mass of molecular ion:    354)
    

       Source Temperature: 220 °C
       Sample Temperature: 260 °C
       Direct, 75 eV
    

          24.0       1.0
          25.0       2.4
          26.0       8.3
          27.0      25.4
          28.0      43.7
          29.0      16.6
          30.0       4.0
          31.0       5.8
          37.0       2.5
          38.0      13.0
          39.0      29.2
          40.0      39.4
          41.0      17.7
          42.0      27.3
          43.0      30.1
          44.0      19.9
          45.0       3.7
          47.0       1.3
          49.0       1.0
          50.0       4.8
          51.0      11.3
          52.0       7.3
          53.0      12.6
          54.0       3.6
          55.0      11.3
          56.0       2.6
          57.0       4.3
          63.5       5.5
          64.0       1.2
          65.0      12.0
          66.0       6.7
          67.0      15.4
          68.0      15.6
          69.0      29.6
          70.0       6.9
          71.0       2.7
          73.0       4.4
          80.0       3.1
          81.0      27.4
          82.0       3.6
          83.0       1.7
          85.0       1.4
          91.0       1.2
          93.0       1.3
          94.0       7.4
          95.0       2.0
          96.0       2.1
          97.0       5.6
          98.0      10.6
          99.0       2.6
         111.0       1.2
         112.0      32.0
         113.0       2.0
         117.0       3.5
         127.0      60.9
         128.0       6.6
         139.0       3.9
         140.0       7.0
         142.0       1.4
         152.0      16.6
         165.0       1.8
         166.0       3.4
         167.0       2.0
         168.0      28.4
         169.0       1.1
         193.0       2.0
         194.0       1.1
         195.0      57.1
         196.0       3.1
         220.0      17.5
         221.0       1.4
         238.0     100.0
         239.0       5.4
         254.0      34.9
    

400 MHz in DMSO-d6


  • 1H NMR 399.65 MHz
    C9 H11 I N2 O5 0.032 g : 0.5 ml DMSO-d6
    2'-deoxy-5-iodouridine
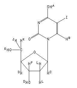
    ChemicalStructure
        Assign.     Shift(ppm)
    A 11.68 B 8.409 C 6.101 D 5.28 E 5.18 F 4.244 G 3.799 J 3.627 K 3.574 L 2.13 assigned by H-H COSY and addition of D2O. J(C,L)=6.4 Hz J(D,F)=3.3 Hz J(E,J)=J(E,K)=3.3 Hz J(F,G)=3.1 Hz J(J,K)=-11.7 Hz

         Hz     ppm     Int.
    

       4666.90  11.678     59
       3360.92   8.410   1000
       2444.91   6.118    141
       2438.50   6.102    316
       2431.90   6.086    147
       2109.89   5.280    108
       2108.98   5.278    106
       2106.96   5.273    110
       2068.68   5.177    124
       2065.20   5.168     76
       2064.65   5.167     75
       2064.29   5.166     75
       1696.12   4.245    118
       1523.58   3.813     77
       1520.28   3.805    236
       1517.17   3.797    245
       1513.87   3.788     86
       1461.30   3.657     34
       1458.01   3.649     53
       1454.34   3.640     39
       1449.58   3.628     86
       1449.21   3.627     86
       1446.28   3.619    128
       1435.29   3.592     84
       1432.36   3.585    128
       1429.06   3.576     82
       1423.75   3.563     43
       1420.46   3.555     55
       1417.53   3.547     33
        856.85   2.145    149
        854.47   2.139    154
        850.08   2.128    295
        848.06   2.123    186
        843.85   2.112    195
    

in DMSO-d6



KBr disc



nujol mull