图谱信息 供应商 相关产品
网站主页CAS数据库列表 54-85-3更多图谱异烟肼(54-85-3)核磁图(1HNMR)

异烟肼

产品名称 异烟肼

CAS号54-85-3

分子式C6H7N3O

分子量137.14

展开


  • Mass

    MS-NW-0621          
    isonicotinohydrazide
    C6H7N3O             (Mass of molecular ion:    137)
    

       Source Temperature: 200 °C
       Sample Temperature: 140 °C
       Reservoir, 75 eV
    

          18.0       2.1
          26.0       1.9
          27.0       1.3
          28.0       4.4
          29.0       2.0
          30.0       1.3
          31.0       8.6
          32.0       1.5
          37.0       1.2
          38.0       1.5
          39.0       1.5
          49.0       1.8
          50.0      14.4
          51.0      52.1
          52.0       7.8
          53.0       1.3
          75.0       1.0
          76.0       1.4
          77.0       1.4
          78.0      98.8
          79.0      16.0
          80.0       1.0
         106.0     100.0
         107.0      11.1
         137.0      58.2
         138.0       4.6
    

90 MHz in DMSO-d6

parameter in DMSO-d6


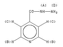
  • 1H NMR 89.56 MHz
    C6 H7 N3 O 0.038 g : 0.5 ml DMSO-d6
    isonicotinohydrazide
    ChemicalStructure
        Assign.     Shift(ppm)
    A 10.10 B 8.721 C 7.753 D 4.64

         Hz     ppm     Int.
    

        904.69  10.102     61
        784.35   8.758    549
        782.74   8.740    341
        779.96   8.709    360
        778.27   8.690    646
        775.05   8.654     33
        774.10   8.644     26
        697.34   7.787   1000
        695.73   7.769    577
        693.02   7.739    510
        691.33   7.720    919
        416.16   4.647    177
    


  • 1H NMR 300 MHz
    C6 H7 N3 O 30 % in DMSO
    isonicotinohydrazide
    ChemicalStructure
        Parameter     ppm  Hz
    D(A) 8.84 D(B) 7.88 J(A,A') 0.4 J(A,B) 5.2 J(A,B') 0.8 J(A',B) 0.8 J(A',B') 5.2 J(B,B') 1.5 D(C) 10.0 D(D) 4.8 BRUEGEL,W. Z.ELEKTROCHEM.(BER.BUNSENGES.PHYS.CHEM.) 66, 159 (1962) H(C) AND H(D):BROAD.

         Hz     ppm     Int.
    

       3000.02  10.000    500
       2655.03   8.850    333
       2653.66   8.846    199
       2650.46   8.835    200
       2649.05   8.830    346
       2366.97   7.890    348
       2365.66   7.886    201
       2362.36   7.875    200
       2360.99   7.870    331
       1439.99   4.800   1000
    

DMSO-d6



KBr disc



nujol mull



4880 A,200 M,powder