
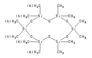
十二甲基环六硅氧烷
产品名称
十二甲基环六硅氧烷
CAS号540-97-6
分子式C12H36O6Si6
分子量444.92
InChIInChI=1S/C12H36O6Si6/c1-19(2)13-20(3,4)15-22(7,8)17-24(11,12)18-23(9,10)16-21(5,6)14-19/h1-12H3
InChIKeyIUMSDRXLFWAGNT-UHFFFAOYSA-N
SmilesC[Si]1(O[Si](O[Si](O[Si](C)(C)O[Si](C)(C)O[Si](C)(C)O1)(C)C)(C)C)C
展开
收起
-
Mass
MS-IW-1797
dodecamethylcyclohexasiloxane
C12H36O6Si6 (Mass of molecular ion: 444)
Source Temperature: 130 °C
Sample Temperature: 100 °C
Direct, 75 eV
45.0 5.0
59.0 5.3
73.0 100.0
74.0 9.0
75.0 4.5
133.0 1.1
147.0 12.3
148.0 1.9
149.0 1.0
191.0 1.0
193.0 1.0
207.0 3.2
267.0 1.0
311.0 1.2
325.0 8.2
326.0 2.7
327.0 2.1
341.0 27.3
342.0 9.1
343.0 6.2
344.0 1.4
413.0 1.1
429.0 38.4
430.0 16.1
431.0 11.5
432.0 3.5
433.0 1.4
-
| 1H NMR |
300 MHz |
| C12 H36 O6 Si6
|
0.05 ml : 0.5 ml CDCl3
|
| dodecamethylcyclohexasiloxane
|
 |
Parameter ppm Hz
D(A) 0.078
J(A,Si-29) = 118 Hz.
|
Hz ppm Int.
23.40 0.078 1000
十二甲基环六硅氧烷(540-97-6)质谱(MS) 相关产品图谱