图谱信息 供应商 相关产品
网站主页CAS数据库列表 5400-80-6更多图谱2-溴-1-茚醇(5400-80-6)质谱(MS)

2-溴-1-茚醇

产品名称 2-溴-1-茚醇

CAS号5400-80-6

分子式C9H9BrO

分子量213.07


  • Mass

    MS-IW-0034          
    2-bromo-1-indanol
    C9H9BrO             (Mass of molecular ion:    212)
    

       Source Temperature: 130 °C
       Sample Temperature: 100 °C
       Direct, 75 eV
    

          27.0       1.2
          39.0       1.5
          50.0       1.7
          51.0       6.4
          52.0       1.8
          55.0      13.3
          57.5       1.4
          63.0       1.9
          65.0       2.4
          65.5       1.9
          66.0       5.4
          76.0       1.1
          77.0       8.2
          78.0       1.8
          79.0       5.8
          89.0       1.3
          91.0       4.1
         102.0       1.3
         103.0       7.0
         104.0       2.7
         105.0      11.2
         115.0      11.0
         116.0       4.7
         131.0       4.8
         132.0       8.0
         133.0     100.0
         134.0       9.9
         211.0       1.3
         212.0      17.1
         213.0       3.0
         214.0      16.8
         215.0       1.7
    

400 MHz in DMSO-d6


  • 1H NMR 399.65 MHz
    C9 H9 Br O 0.037 g : 0.5 ml DMSO-d6
    2-bromo-1-indanol
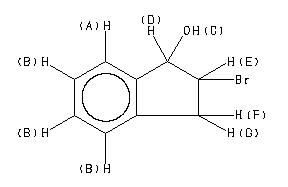
    ChemicalStructure
        Assign.     Shift(ppm)
    A 7.35 B 7.28 to 7.23 C 5.99 D 5.092 E 4.323 F 3.557 G 3.102 J(C,D)=6.6HZ J(F,E)=7.1HZ J(F,G)=-16.4HZ J(G,E)=6.8HZ

         Hz     ppm     Int.
    

       2943.24   7.365    203
       2942.38   7.363    202
       2939.70   7.356    145
       2937.87   7.352    322
       2934.94   7.344    298
       2930.91   7.334     60
       2913.21   7.290     55
       2908.33   7.278    283
       2906.86   7.274    302
       2902.83   7.264   1000
       2899.66   7.256    721
       2897.95   7.252    771
       2893.55   7.241    331
       2890.14   7.232     86
       2888.18   7.227    101
       2887.45   7.225    106
       2397.34   5.999    905
       2390.75   5.983    937
       2041.02   5.108    246
       2035.16   5.093    413
       2028.93   5.077    247
       1737.55   4.348    203
       1732.06   4.334    249
       1730.71   4.331    469
       1725.10   4.317    463
       1723.75   4.314    262
       1718.26   4.300    212
       1434.08   3.589    233
       1427.12   3.571    227
       1417.72   3.548    276
       1410.77   3.531    260
       1250.73   3.130    247
       1243.90   3.113    241
       1234.50   3.089    206
       1227.66   3.072    202
    

in DMSO-d6



KBr disc



nujol mull