产品名称 5-硝基吲唑
CAS号5401-94-5
分子式C7H5N3O2
分子量163.13
InChIInChI=1S/C7H5N3O2/c11-10(12)6-1-2-7-5(3-6)4-8-9-7/h1-4H,(H,8,9)
InChIKeyWSGURAYTCUVDQL-UHFFFAOYSA-N
SmilesN1C2=C(C=C([N+]([O-])=O)C=C2)C=N1
展开 收起
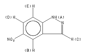
Assign. Shift(ppm) A 13.77 B 8.844 C 8.434 D 8.209 E 7.751 J(B,D)=2.0HZ J(D,E)=9.2HZ
更多供应商
5-硝基吲唑(5401-94-5)Raman光谱 相关产品图谱