-
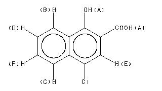
MS-NW-9924 4-chloro-1-hydroxy-2-naphthoic acid C11H7ClO3 (Mass of molecular ion: 222)
Source Temperature: 200 °C Sample Temperature: 120 °C Direct, 75 eV
17.0 1.7 18.0 9.0 28.0 1.0 39.0 1.5 44.0 5.4 51.0 1.2 55.0 1.0 56.0 5.4 56.5 2.4 57.0 3.8 57.5 1.0 62.0 2.3 63.0 5.9 70.5 1.2 71.0 1.5 73.0 1.0 74.0 13.3 74.5 2.3 75.0 6.3 85.0 1.0 86.0 2.4 87.0 3.4 88.0 10.8 88.5 1.4 89.0 4.8 101.0 1.0 102.0 6.9 102.5 1.0 103.0 2.3 111.0 1.7 113.0 21.3 114.0 7.4 115.0 12.0 116.0 1.2 143.0 1.1 147.0 1.3 148.0 51.6 149.0 9.6 150.0 17.5 151.0 3.0 170.0 3.2 176.0 9.2 177.0 1.7 178.0 19.4 179.0 2.3 180.0 5.4 188.0 1.2 204.0 100.0 205.0 12.6 206.0 33.0 207.0 4.1 222.0 33.8 223.0 4.2 224.0 11.0 225.0 1.3
400 MHz in DMSO-d6
-
1H NMR 399.65 MHz C11 H7 Cl O3 0.034 g : 0.5 ml DMSO-d6 4-chloro-1-hydroxy-2-naphthoic acid 
Assign. Shift(ppm)
A 13. B 8.352 C 8.103 D *1 7.850 E 7.802 F *1 7.711
Hz ppm Int.3343.30 8.366 159 3342.66 8.364 208 3342.02 8.363 230 3341.38 8.361 200 3334.97 8.345 177 3334.33 8.344 238 3333.69 8.342 239 3333.04 8.340 211 3243.51 8.116 227 3242.87 8.115 191 3235.39 8.096 259 3234.96 8.095 259 3145.64 7.871 130 3144.36 7.868 147 3138.81 7.854 185 3137.52 7.851 248 3136.03 7.847 151 3130.47 7.834 149 3128.98 7.830 153 3118.29 7.803 1000 3089.66 7.731 144 3088.59 7.729 159 3082.61 7.714 133 3081.32 7.711 227 3080.26 7.708 170 3074.27 7.693 117 3073.20 7.690 120
更多供应商





