图谱信息 供应商 相关产品
网站主页CAS数据库列表 541-70-8更多图谱1,3-苯二胺硫酸盐(541-70-8)核磁图(13CNMR)

1,3-苯二胺硫酸盐

产品名称 1,3-苯二胺硫酸盐

CAS号541-70-8

分子式C6H10N2O4S

分子量206.22

展开

400 MHz in DMSO-d6


  • 1H NMR 399.65 MHz
    C6 H8 N2 0.041 g : 0.5 ml DMSO-d6
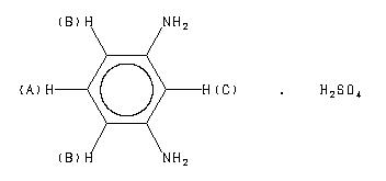
    m-phenylenediamine sulfate
    ChemicalStructure
        Assign.     Shift(ppm)
    A 7.094 B 6.53 C 6.513

         Hz     ppm     Int.
    

       2843.87   7.116    100
       2842.04   7.112     66
       2837.52   7.101     76
       2835.45   7.095    196
       2828.49   7.078    101
       2827.64   7.076    124
       2614.14   6.542    236
       2612.06   6.536    362
       2604.86   6.518   1000
    

in DMSO-d6



KBr disc



nujol mull