-
MS-NW-6169 3-amino-2-naphthol C10H9NO (Mass of molecular ion: 159)
Source Temperature: 170 °C Sample Temperature: 100 °C Direct, 75 eV
17.0 1.2 18.0 5.5 28.0 1.3 39.0 1.5 50.0 1.3 51.0 3.0 52.0 1.6 62.0 1.5 63.0 2.5 64.0 1.1 64.5 2.3 65.0 3.8 65.5 3.6 74.0 1.1 75.0 1.5 76.0 1.6 77.0 5.1 79.5 4.5 88.0 1.7 102.0 3.2 103.0 5.5 104.0 1.5 113.0 2.6 114.0 7.7 115.0 2.8 116.0 1.2 128.0 1.0 130.0 22.6 131.0 4.4 132.0 1.0 140.0 2.1 141.0 1.8 158.0 2.0 159.0 100.0 160.0 11.8 185.0 1.8
400 MHz in DMSO-d6
-
1H NMR 399.65 MHz C10 H9 N O 0.040 g : 0.5 ml DMSO-d6 3-amino-2-naphthol 
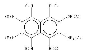
Assign. Shift(ppm)
A 9.92 B 7.478 C 7.438 D 7.108 E 7.054 F 7.050 G 6.894 J 5.08
Hz ppm Int.3964.23 9.920 89 3963.01 9.917 88 2993.01 7.490 332 2985.08 7.470 367 2976.99 7.449 344 2969.06 7.430 379 2849.43 7.130 150 2848.21 7.127 170 2842.56 7.113 291 2841.49 7.110 349 2834.63 7.093 246 2833.40 7.090 235 2824.86 7.069 269 2823.64 7.066 302 2819.37 7.055 1000 2810.21 7.032 151 2808.99 7.029 145 2755.43 6.895 963 2048.49 5.126 43 2033.08 5.088 94 2032.32 5.086 95 2031.71 5.084 96 2030.94 5.082 97 2029.27 5.078 98 2028.66 5.077 98 2027.44 5.074 97 2024.84 5.067 93 2017.82 5.049 70 2009.28 5.028 43 2008.06 5.025 41 2002.41 5.011 30
更多供应商






