图谱信息 供应商 相关产品
网站主页CAS数据库列表 5418-95-1更多图谱2-胍啶苯并咪唑(5418-95-1)核磁图(1HNMR)

2-胍啶苯并咪唑

产品名称 2-胍啶苯并咪唑

CAS号5418-95-1

分子式C8H9N5

分子量175.19

展开


  • Mass

    MS-NW-8974          
    1-(2-benzimidazolyl)guanidine
    C8H9N5              (Mass of molecular ion:    175)
    

       Source Temperature: 200 °C
       Sample Temperature: 190 °C
       Direct, 75 eV
    

          17.0       1.1
          18.0       2.2
          28.0       1.2
          42.0       1.3
          43.0       3.9
          51.0       1.5
          52.0       1.6
          53.0       1.3
          63.0       1.2
          64.0       1.4
          65.0       1.2
          77.0       1.2
          78.0       2.6
          79.0       4.7
          87.5       2.8
          90.0       3.5
          91.0       1.7
         104.0       2.9
         105.0      14.9
         106.0       9.7
         116.0       1.0
         131.0       2.9
         132.0       7.9
         133.0      44.3
         134.0       3.9
         157.0       2.1
         158.0      97.7
         159.0      11.6
         174.0       1.9
         175.0     100.0
         176.0      10.8
    

400 MHz in DMSO-d6


  • 1H NMR 399.65 MHz
    C8 H9 N5 0.040 g : 0.5 ml DMSO-d6
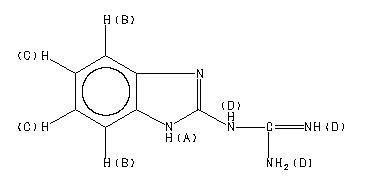
    1-(2-benzimidazolyl)guanidine
    ChemicalStructure
        Assign.     Shift(ppm)
    A *1 10.96 B 7.177 C 6.92 D *1 7.

         Hz     ppm     Int.
    

       4381.34  10.963     68
       2886.34   7.223     41
       2872.78   7.189    399
       2869.67   7.181    443
       2867.29   7.175    452
       2864.17   7.167    433
       2850.99   7.134     43
       2850.44   7.133     43
       2846.77   7.124     31
       2846.04   7.122     30
       2776.80   6.949     90
       2772.77   6.938    237
       2768.74   6.928   1000
       2765.45   6.920    876
       2762.88   6.914    838
       2759.77   6.906    858
       2755.56   6.895    188
       2751.71   6.886     92
    

in DMSO-d6



KBr disc



nujol mull