
DL-扁桃酸异戊酯
产品名称
DL-扁桃酸异戊酯
CAS号5421-04-5
分子式C13H18O3
分子量222.28
InChIInChI=1S/C13H18O3/c1-10(2)8-9-16-13(15)12(14)11-6-4-3-5-7-11/h3-7,10,12,14H,8-9H2,1-2H3
InChIKeyKQQXUARABJGCMS-UHFFFAOYSA-N
SmilesC1(=CC=CC=C1)C(O)C(=O)OCCC(C)C
展开
收起
-
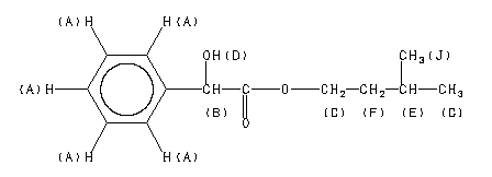
Assign. Shift(ppm)
A 7.55 to 7.19
B 5.145
C 4.17
D 3.51
E 1.60
F 1.46
G *1 0.84
J *1 0.82
Spectral Code: 1H NMR : 90 MHz in CDCl3
-
ppm Int. Assign.
173.76 363 1
138.56 249 2
128.51 1000 3 *
128.36 438 4
126.55 905 5 *
72.98 284 6
64.80 353 7
37.11 348 8
24.93 393 9
22.31 453 10
22.26 458 10
Spectral Code: 13C NMR : in CDCl3
-
Spectral Code: IR : liquid film
-
Spectral Code: Raman : 4880 A,150M,liquid
DL-扁桃酸异戊酯(5421-04-5)Raman光谱 相关产品图谱