图谱信息 供应商 相关产品
网站主页CAS数据库列表 5422-88-8更多图谱苯基酮环戊酯(5422-88-8)红外图谱(IR1)

苯基酮环戊酯

产品名称 苯基酮环戊酯

CAS号5422-88-8

分子式C12H14O

分子量174.24

展开



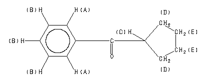
  •     Assign.     Shift(ppm)
    A 7.96 B 7.50 to 7.42 C 3.703 D 1.87 E 1.72
    Spectral Code: 1H NMR : 90 MHz in CDCl3



  •        ppm   Int.  Assign.
    202.51 138 1 137.02 130 2 132.65 341 3 128.48 1000 4 46.37 348 5 30.01 565 6 26.34 529 7
    Spectral Code: 13C NMR : in CDCl3


  • Spectral Code: IR : liquid film


  • Spectral Code: Raman : 4880 A,100M,liquid