
5-硝基-2-甲基苯酚
产品名称
5-硝基-2-甲基苯酚
CAS号5428-54-6
分子式C7H7NO3
分子量153.14
InChIInChI=1S/C7H7NO3/c1-5-2-3-6(8(10)11)4-7(5)9/h2-4,9H,1H3
InChIKeyUMFDLIXUUJMPSI-UHFFFAOYSA-N
SmilesC1(O)=CC([N+]([O-])=O)=CC=C1C
展开
收起
-
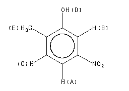
Assign. Shift(ppm)
A 7.72
B 7.67
C 7.26
D 5.53
E 2.34
Spectral Code: 1H NMR : 90 MHz in CDCl3
-
ppm Int. Assign.
154.22 586 1
147.03 259 2
132.74 603 3
131.28 1000 4
115.93 983 5
109.82 931 6
16.19 828 7
Spectral Code: 13C NMR : in CDCl3
-
Spectral Code: IR : KBr disc
5-硝基-2-甲基苯酚(5428-54-6)红外图谱(IR1) 相关产品图谱