
4-(N,N-二乙氨基)-苯甲酸
产品名称
4-(N,N-二乙氨基)-苯甲酸
CAS号5429-28-7
分子式C11H15NO2
分子量193.24
InChIInChI=1S/C11H15NO2/c1-3-12(4-2)10-7-5-9(6-8-10)11(13)14/h5-8H,3-4H2,1-2H3,(H,13,14)
InChIKeyLNYTUARMNSFFBE-UHFFFAOYSA-N
SmilesC(O)(=O)C1=CC=C(N(CC)CC)C=C1
展开
收起
-
Assign. Shift(ppm)
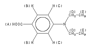
A 11.9
B 7.94
C 6.62
D 3.406
E 1.194
Spectral Code: 1H NMR : 90 MHz in CDCl3
-
ppm Int. Assign.
172.74 577 1
151.62 678 2
132.34 1000 3
115.18 639 4
110.20 971 5
44.54 764 6
12.49 784 7
Spectral Code: 13C NMR : in CDCl3
-
Spectral Code: IR : KBr disc
-
Spectral Code: Raman : 4880 A,200 M,powder
4-(N,N-二乙氨基)-苯甲酸(5429-28-7)核磁图(1HNMR) 相关产品图谱