400 MHz in DMSO-d6
-
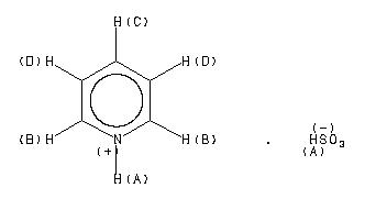
1H NMR 399.65 MHz C5 H5 N 0.038 g : 0.5 ml DMSO-d6 pyridine sulfate 
Assign. Shift(ppm)
A 12.3 B 8.981 C 8.674 D 8.143
Hz ppm Int.4912.89 12.293 40 3593.36 8.992 725 3591.90 8.988 941 3586.77 8.975 949 3585.30 8.972 733 3476.32 8.699 243 3474.85 8.695 485 3473.20 8.691 251 3471.37 8.687 40 3470.64 8.685 47 3468.44 8.679 415 3466.98 8.676 1000 3465.33 8.671 384 3463.50 8.667 44 3462.95 8.665 38 3460.75 8.660 286 3459.10 8.656 564 3457.63 8.652 254 3261.46 8.161 802 3260.36 8.159 431 3259.81 8.157 387 3256.33 8.148 404 3255.78 8.147 450 3254.87 8.145 850 3253.59 8.142 865 3252.49 8.139 417 3251.94 8.137 352 3248.64 8.129 333 3247.91 8.127 358 3246.99 8.125 705


