图谱信息 供应商 相关产品
网站主页CAS数据库列表 5437-45-6更多图谱2-溴乙酸苄酯(5437-45-6)核磁图(13CNMR)

2-溴乙酸苄酯

产品名称 2-溴乙酸苄酯

CAS号5437-45-6

分子式C9H9BrO2

分子量229.07


  • Mass

    MS-NW-9990          
    benzyl bromoacetate
    C9H9BrO2            (Mass of molecular ion:    228)
    

       Source Temperature: 230 °C
       Sample Temperature: 160 °C
       Reservoir, 75 eV
    

          27.0       1.1
          38.0       1.0
          39.0       6.3
          41.0       1.7
          42.0       2.4
          43.0       5.5
          50.0       3.4
          51.0       9.0
          52.0       2.4
          62.0       1.2
          63.0       4.0
          64.0       1.3
          65.0      13.3
          77.0      14.1
          78.0       3.5
          79.0      22.3
          80.0       1.7
          89.0       7.5
          90.0      13.4
          91.0      60.9
          92.0       5.6
          93.0       2.5
          95.0       2.4
         105.0       7.3
         106.0       1.4
         107.0     100.0
         108.0      19.2
         109.0       1.3
         121.0       2.1
         123.0       2.0
         149.0      46.7
         150.0       4.7
         169.0       1.0
         228.0       1.3
         230.0       1.3
    

90 MHz in CDCl3


  • 1H NMR 89.56 MHz
    C9 H9 Br O2 0.05 ml : 0.5 ml CDCl3
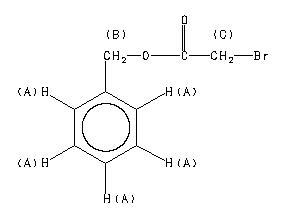
    benzyl bromoacetate
    ChemicalStructure
        Assign.     Shift(ppm)
    A 7.34 B 5.164 C 3.817

         Hz     ppm     Int.
    

        657.31   7.340   1000
        462.56   5.165    435
        341.94   3.818    661
    

in CDCl3



liquid film



4880 A,200 M,liquid