图谱信息 供应商 相关产品
网站主页CAS数据库列表 5438-36-8更多图谱5-碘香兰素(5438-36-8)红外图谱(IR2)

5-碘香兰素

产品名称 5-碘香兰素

CAS号5438-36-8

分子式C8H7IO3

分子量278.04


  • Mass

    MS-NW-8059          
    4-hydroxy-3-iodo-5-methoxybenzaldehyde
    C8H7IO3             (Mass of molecular ion:    278)
    

       Source Temperature: 170 °C
       Sample Temperature: 100 °C
       Direct, 75 eV
    

          15.0       1.9
          17.0       1.8
          18.0       8.0
          28.0       2.9
          29.0       4.2
          37.0       2.2
          38.0       2.4
          39.0       4.1
          41.0       2.2
          43.0       1.0
          49.0       3.0
          50.0      12.2
          51.0      18.4
          52.0      10.7
          53.0      12.6
          54.0       1.3
          55.0       1.8
          61.0       4.1
          62.0       7.4
          63.0       7.0
          64.0       3.1
          65.0       5.4
          66.0       3.3
          67.0       2.0
          74.0       1.2
          77.0       6.1
          78.0       2.1
          79.0      18.2
          80.0       4.9
          90.0       1.2
          91.0       3.3
          92.0       3.0
          93.0       1.0
          94.0       4.3
          95.0       1.1
         107.0       7.1
         108.0       5.6
         119.0       1.5
         121.0       2.1
         122.0       4.3
         127.0       3.8
         128.0       1.5
         135.0      11.2
         136.0       9.8
         151.0       1.3
         177.0       1.0
         179.0       2.0
         207.0       5.6
         221.0       1.4
         234.0       1.8
         235.0      11.5
         249.0       3.7
         263.0       4.2
         277.0      47.2
         278.0     100.0
         279.0       9.1
         280.0       1.0
    

90 MHz in DMSO-d6

400 MHz in DMSO-d6


  • 1H NMR 89.56 MHz
    C8 H7 I O3 0.040 g : 0.5 ml DMSO-d6
    4-hydroxy-3-iodo-5-methoxybenzaldehyde
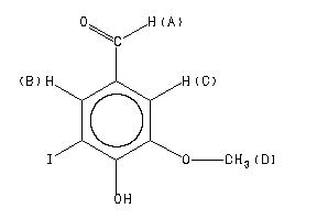
    ChemicalStructure
        Assign.     Shift(ppm)
    A 9.759 B 7.889 C 7.424 D 3.908 J(B,C)=1.7HZ

         Hz     ppm     Int.
    

        874.07   9.760    517
        707.52   7.900    239
        705.76   7.881    245
        665.48   7.431    200
        663.79   7.412    178
        350.10   3.910   1000
        345.85   3.862     43
        344.53   3.847     24
    


  • 1H NMR 399.65 MHz
    C8 H7 I O3 0.030 g : 0.5 ml DMSO-d6
    4-hydroxy-3-iodo-5-methoxybenzaldehyde
    ChemicalStructure
        Assign.     Shift(ppm)
    A 10.8 B 9.762 C 7.894 D 7.423 E 3.907 J(C,D)=1.7HZ 90MHZ:HSP-06-266 IN DMSO-D6

         Hz     ppm     Int.
    

       3901.45   9.763    555
       3155.78   7.897    251
       3154.13   7.893    282
       2967.48   7.426    199
       2965.83   7.422    211
       1561.68   3.908   1000
    

in DMSO-d6



KBr disc



nujol mull