图谱信息 供应商 相关产品
网站主页CAS数据库列表 5441-14-5更多图谱4-苯基氨基脲盐酸盐(5441-14-5)红外图谱(IR1)

4-苯基氨基脲盐酸盐

产品名称 4-苯基氨基脲盐酸盐

CAS号5441-14-5

分子式C7H10ClN3O

分子量187.63

展开

400 MHz in DMSO-d6


  • 1H NMR 399.65 MHz
    C7 H9 N3 O 0.040 g : 0.5 ml DMSO-d6
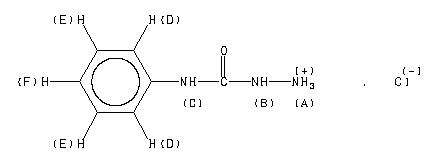
    4-phenylsemicarbazide hydrochloride
    ChemicalStructure
        Assign.     Shift(ppm)
    A 10.2 B *1 9.87 C *1 9.20 D 7.470 E 7.305 F 7.016

         Hz     ppm     Int.
    

       4094.69  10.246     76
       3945.59   9.873    792
       3678.35   9.204    498
       2991.11   7.485    644
       2990.01   7.482    841
       2982.50   7.463   1000
       2981.40   7.461    943
       2928.83   7.329    133
       2927.00   7.324    672
       2925.17   7.320    259
       2919.49   7.306    890
       2918.76   7.304    824
       2912.90   7.289    240
       2911.07   7.285    630
       2812.16   7.037    187
       2811.06   7.034    342
       2809.96   7.032    231
       2803.73   7.016    568
       2797.50   7.000    156
       2796.22   6.997    264
       2795.12   6.994    174
    

KBr disc



nujol mull