图谱信息 供应商 相关产品
网站主页CAS数据库列表 5445-44-3更多图谱O-苄基-DL-丝氨酸(5445-44-3)核磁图(1HNMR)

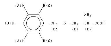
O-苄基-DL-丝氨酸

产品名称 O-苄基-DL-丝氨酸

CAS号5445-44-3

分子式C10H13NO3

分子量195.22

展开



  •     Assign.     Shift(ppm)
    A 7.47 B 7.46 C 7.44 D 4.628 E 3.93
    Spectral Code: 1H NMR : 400 MHz at 70C



  •        ppm   Int.  Assign.
    172.43 174 1 138.12 256 2 129.57 872 3 129.08 1000 4 5 73.86 384 6 68.81 349 7 55.62 244 8
    Spectral Code: 13C NMR : in D2O


  • Spectral Code: IR : KBr disc


  • Spectral Code: Raman : 4880 A,200 M,powder