图谱信息 供应商 相关产品
网站主页CAS数据库列表 5445-51-2更多图谱1,1-环丁基二甲酸(5445-51-2)红外图谱(IR1)

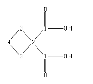
1,1-环丁基二甲酸

产品名称 1,1-环丁基二甲酸

CAS号5445-51-2

分子式C6H8O4

分子量144.13

展开





  •        ppm   Int.  Assign.
    172.80 760 1 52.17 421 2 28.17 1000 3 15.47 520 4
    Spectral Code: 13C NMR : in DMSO-d6


  • Spectral Code: IR : KBr disc