-
MS-IW-8184 (2,4-dichlorophenyl)hydrazine hydrochloride C6H6Cl2N2 HCl (Mass of molecular ion: 176)
Source Temperature: 160 °C Sample Temperature: 130 °C Direct, 75 eV
17.0 1.5 18.0 4.2 28.0 4.1 29.0 1.6 31.0 1.2 35.0 2.1 36.0 34.9 37.0 1.7 38.0 12.0 44.5 1.4 49.0 1.2 50.0 3.1 51.0 2.5 52.0 3.0 61.0 2.2 62.0 2.9 62.5 1.7 63.0 4.5 64.0 1.3 70.0 1.3 73.0 5.0 74.0 5.0 75.0 9.8 76.0 2.8 77.0 2.5 78.0 1.4 80.5 1.3 84.0 1.1 85.0 2.0 87.0 1.1 88.0 6.0 89.0 3.5 90.0 3.4 97.0 2.3 98.0 1.9 99.0 3.2 109.0 3.4 110.0 2.1 111.0 13.8 112.0 2.7 113.0 4.2 114.0 1.6 124.0 9.0 125.0 5.8 126.0 5.2 127.0 2.1 133.0 29.7 134.0 2.4 135.0 19.4 136.0 1.5 137.0 3.1 141.0 5.3 143.0 1.9 145.0 3.0 146.0 13.2 147.0 3.7 148.0 8.7 149.0 1.4 150.0 1.4 159.0 4.8 160.0 83.6 161.0 31.7 162.0 55.7 163.0 18.7 164.0 9.7 165.0 3.1 174.0 1.8 175.0 2.6 176.0 100.0 177.0 8.8 178.0 63.6 179.0 5.0 180.0 10.3
400 MHz in DMSO-d6
-
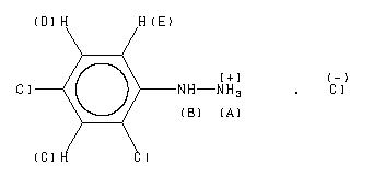
1H NMR 399.65 MHz C6 H6 Cl2 N2 0.034 g : 0.5 ml DMSO-d6 (2,4-dichlorophenyl)hydrazine hydrochloride 
Assign. Shift(ppm)
A 10.6 B 8.27 C 7.565 D 7.418 E 7.206
Hz ppm Int.4219.97 10.560 51 3305.97 8.273 102 3024.81 7.569 933 3022.43 7.563 1000 2970.78 7.434 413 2968.40 7.428 375 2961.99 7.412 499 2959.60 7.406 474 2884.14 7.217 749 2879.38 7.205 35 2878.83 7.204 35 2875.35 7.195 643 2870.77 7.184 26 2870.40 7.183 24
更多供应商






