-
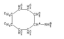
MS-NW-7688 cyclooctylamine C8H17N (Mass of molecular ion: 127)
Source Temperature: 260 °C Sample Temperature: 170 °C Reservoir, 75 eV
18.0 2.9 27.0 3.2 28.0 4.5 29.0 2.9 30.0 9.1 39.0 3.5 41.0 6.6 42.0 3.5 43.0 34.3 44.0 2.6 53.0 1.1 54.0 1.9 55.0 3.0 56.0 100.0 57.0 5.9 67.0 3.0 68.0 1.3 69.0 1.1 70.0 6.9 81.0 1.7 82.0 2.0 84.0 9.3 98.0 3.3 110.0 1.2 126.0 1.1 127.0 3.8
90 MHz in CDCl3
更多供应商






